Официальное опубликование правовых актов
ОФИЦИАЛЬНОЕ ОПУБЛИКОВАНИЕ
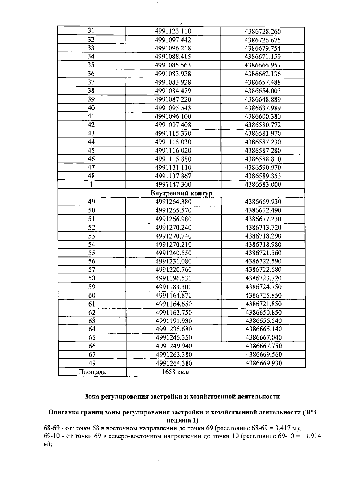
Приказ Министерства культуры Республики Крым от 27.08.2025 № 495-ОКН
"Об утверждении границ зон охраны, режимов использования земель и требований к градостроительным регламентам в границах зон охраны объекта культурного наследия регионального значения "Церковь Святого Ильи (архитекторы А.И. Карапетов, Х.К. Васильев)", 1891 год, 1903 год, расположенного по адресу: Республика Крым, г. Саки, ул. Симферопольская, 38, литер "А"
(Зарегистрирован 02.09.2025 № 2707)
Номер опубликования: 9101202509040004
Дата опубликования: 04.09.2025
Страница №6 из 16:
Увеличить