Официальное опубликование правовых актов
ОФИЦИАЛЬНОЕ ОПУБЛИКОВАНИЕ
Приказ Министерства культуры Республики Крым от 23.07.2025 № 449-ОКН
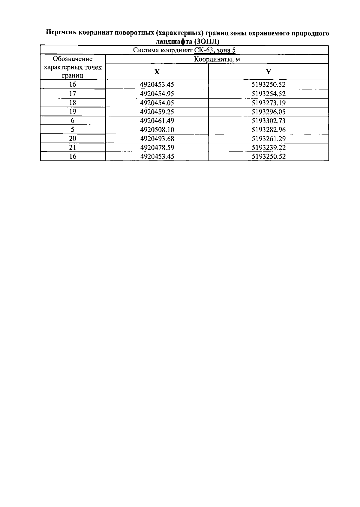
"Об утверждении границ зон охраны, режимов использования земель и требований к градостроительным регламентам в границах зон охраны объекта культурного наследия регионального значения "Дом Е.П. Богданович (архитектор Н.П. Краснов)", конец XIX века, расположенного по адресу: Республика Крым, г. Ялта, ул. Кирова, 27, литер "А"
(Зарегистрирован 28.07.2025 № 2614)
Номер опубликования: 9101202508010002
Дата опубликования: 01.08.2025
Страница №7 из 12:
Увеличить