Официальное опубликование правовых актов
ОФИЦИАЛЬНОЕ ОПУБЛИКОВАНИЕ
Приказ Министерства культуры Республики Крым от 11.07.2025 № 423-ОКН
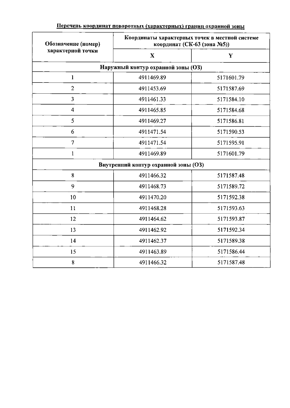
"Об утверждении границ зон охраны, режимов использования земель и требований к градостроительным регламентам в границах зон охраны объекта культурного наследия регионального значения "Остановочный павильон "Верхний Кастрополь", 1960-е годы, расположенного по адресу: Республика Крым, городской округ Ялта, пгт Береговое, Южнобережное шоссе"
(Зарегистрирован 17.07.2025 № 2569)
Номер опубликования: 9101202507220004
Дата опубликования: 22.07.2025
Страница №4 из 7:
Увеличить