Официальное опубликование правовых актов
ОФИЦИАЛЬНОЕ ОПУБЛИКОВАНИЕ
Приказ Министерства культуры Республики Крым от 11.07.2025 № 421-ОКН
"Об утверждении границ зон охраны, режимов использования земель и требований к градостроительным регламентам в границах зон охраны объекта культурного наследия регионального значения "Мисхорская санатория имени А.В. Кривошеина", 1916 год, расположенного по адресу: Республика Крым, городской округ Ялта, пгт Кореиз, ул. Мисхорский спуск, 2, санаторий "Белоруссия", корпус №1, литер "А"
(Зарегистрирован 17.07.2025 № 2567)
Номер опубликования: 9101202507220002
Дата опубликования: 22.07.2025
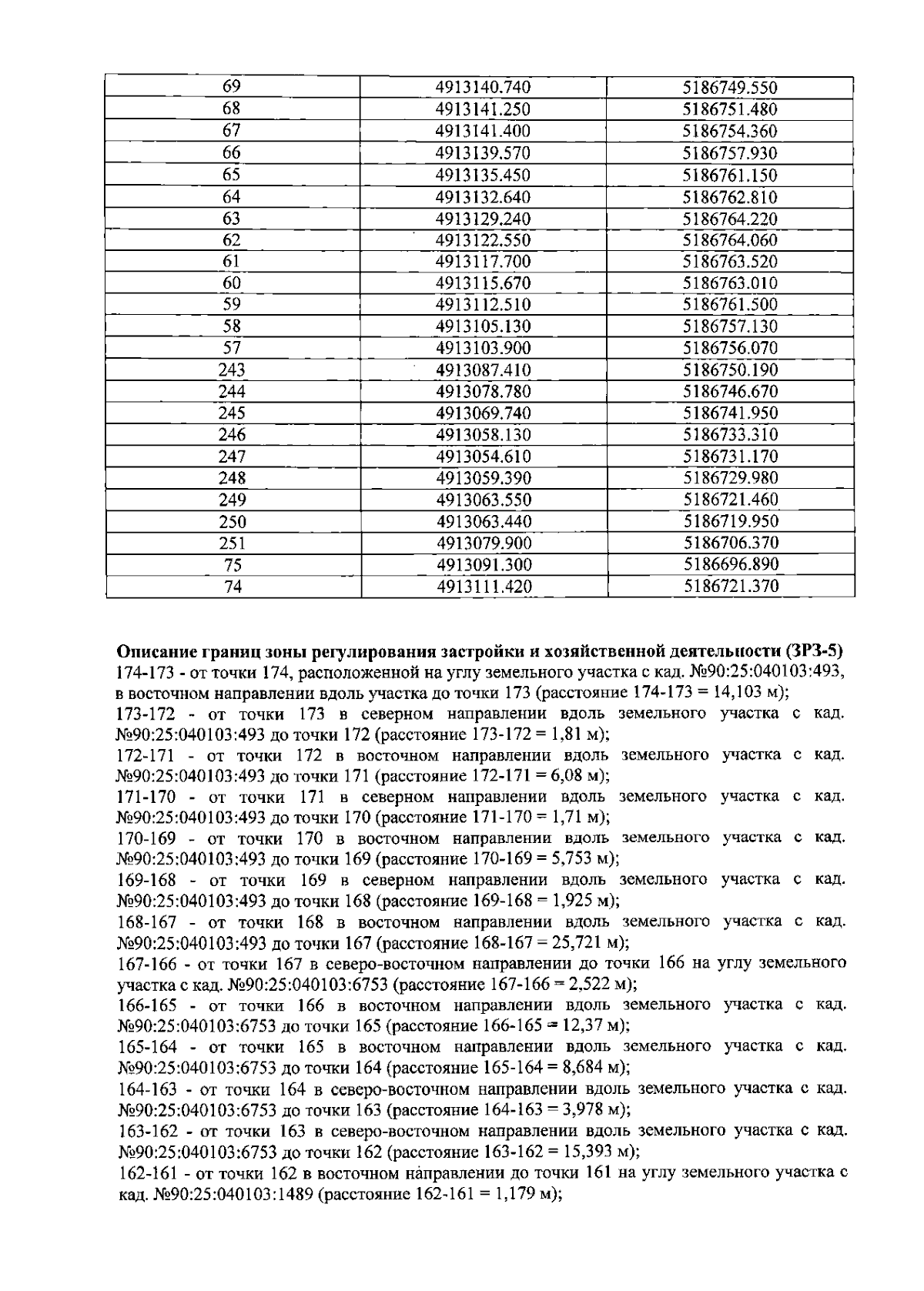
Страница №22 из 43:
Увеличить