Приказ Министерства культуры Республики Крым от 05.06.2025 № 317-ОКН
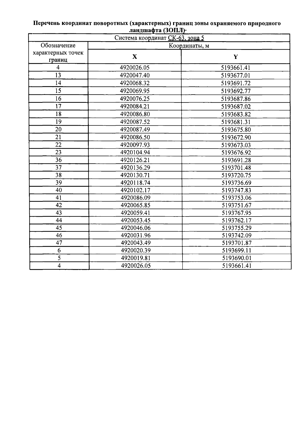
"Об утверждении границ зон охраны, режимов использования земель и требований к градостроительным регламентам в границах зон охраны объекта культурного наследия регионального значения "Вилла М.П. Атаровой (архитектор Н.П. Краснов)", XIX век, расположенного по адресу: Республика Крым, г. Ялта, ул. Пушкинская, 5, литер "А"; ул. Пушкинская, 5 "г", литер "а"
(Зарегистрирован 18.06.2025 № 2486)
"Об утверждении границ зон охраны, режимов использования земель и требований к градостроительным регламентам в границах зон охраны объекта культурного наследия регионального значения "Вилла М.П. Атаровой (архитектор Н.П. Краснов)", XIX век, расположенного по адресу: Республика Крым, г. Ялта, ул. Пушкинская, 5, литер "А"; ул. Пушкинская, 5 "г", литер "а"
(Зарегистрирован 18.06.2025 № 2486)
Номер опубликования: 9101202506190006
Дата опубликования:
19.06.2025
