Официальное опубликование правовых актов
ОФИЦИАЛЬНОЕ ОПУБЛИКОВАНИЕ
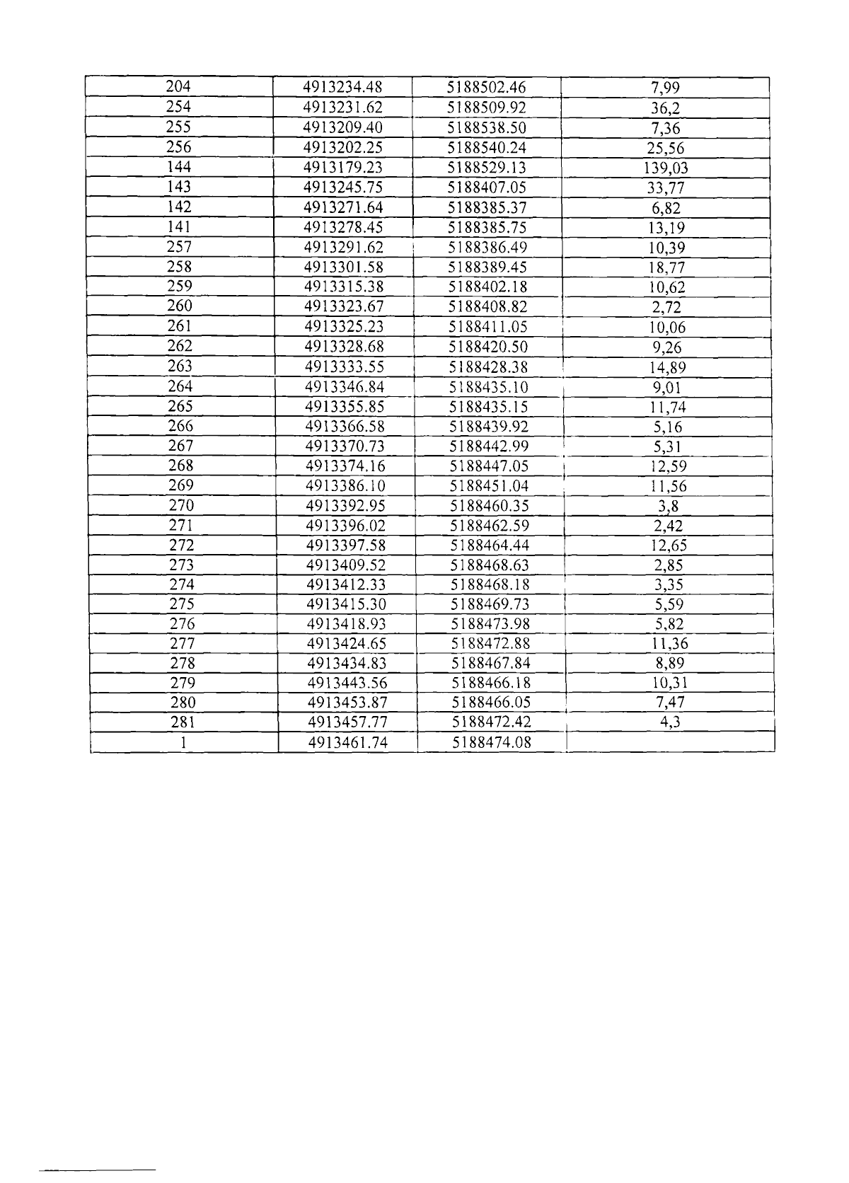
Приказ Министерства культуры Республики Крым от 13.05.2025 № 265-ОКН
"Об утверждении границ зон охраны, режимов использования земель и требований к градостроительным регламентам в границах зон охраны объекта культурного наследия федерального значения "Дворец "Дюльбер": "Дворец", "Ворота", "Парк" (ансамбль), 1897 – 1911 годы, расположенного по адресу: Республика Крым, городской округ Ялта, пгт. Кореиз, ул. Алупкинское шоссе, д. 1"
(Зарегистрирован 16.05.2025 № 2416)
Номер опубликования: 9101202505200003
Дата опубликования: 20.05.2025
Страница №17 из 22:
Увеличить