Приказ Министерства культуры Республики Крым от 18.04.2025 № 237-ОКН
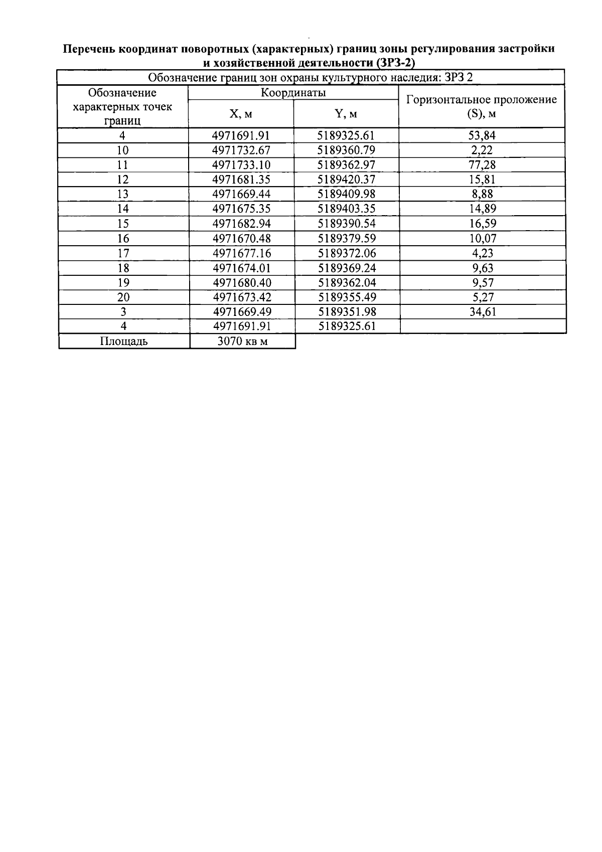
"Об утверждении границ зон охраны, режимов использования земель и требований к градостроительным регламентам в границах зон охраны объекта культурного наследия регионального значения "Здание гостиницы "Бристоль", XIX век, расположенного по адресу: Республика Крым, г. Симферополь, ул. Долгоруковская, 5, литер "А"
(Зарегистрирован 28.04.2025 № 2369)
"Об утверждении границ зон охраны, режимов использования земель и требований к градостроительным регламентам в границах зон охраны объекта культурного наследия регионального значения "Здание гостиницы "Бристоль", XIX век, расположенного по адресу: Республика Крым, г. Симферополь, ул. Долгоруковская, 5, литер "А"
(Зарегистрирован 28.04.2025 № 2369)
Номер опубликования: 9101202504290010
Дата опубликования:
29.04.2025
