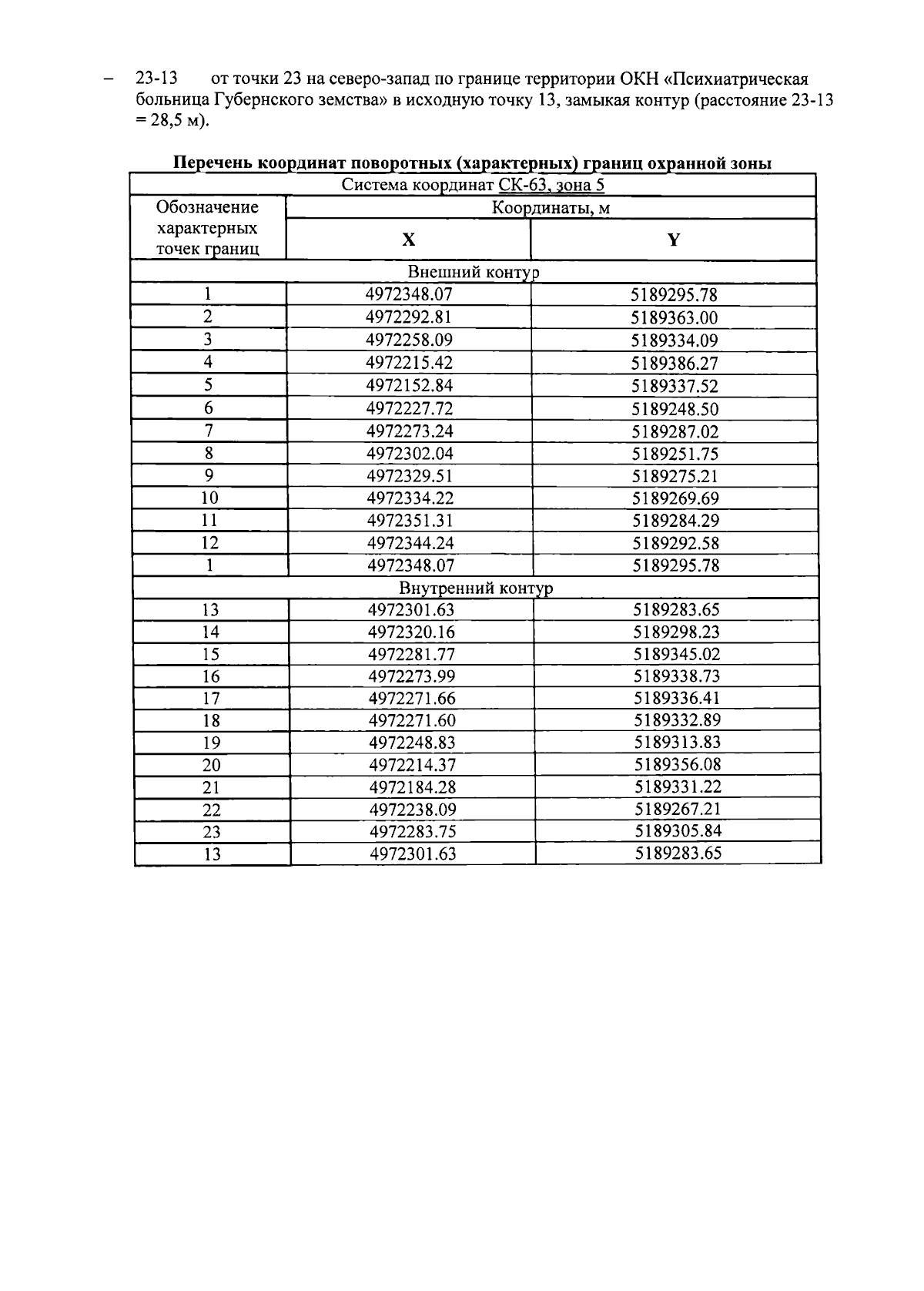
Приказ Министерства культуры Республики Крым от 18.04.2025 № 244-ОКН
"Об утверждении границ зон охраны, режимов использования земель и требований к градостроительным регламентам в границах зон охраны объекта культурного наследия регионального значения "Психиатрическая больница Губернского земства": "Часовня", "Лечебный корпус", "Водонапорная башня", начало XX века (ансамбль), расположенного по адресу: Республика Крым, г. Симферополь, ул. Александра Невского, 27, литер "1Д", "Ю", "1Р"
(Зарегистрирован 28.04.2025 № 2376)
"Об утверждении границ зон охраны, режимов использования земель и требований к градостроительным регламентам в границах зон охраны объекта культурного наследия регионального значения "Психиатрическая больница Губернского земства": "Часовня", "Лечебный корпус", "Водонапорная башня", начало XX века (ансамбль), расположенного по адресу: Республика Крым, г. Симферополь, ул. Александра Невского, 27, литер "1Д", "Ю", "1Р"
(Зарегистрирован 28.04.2025 № 2376)
Номер опубликования: 9101202504290008
Дата опубликования:
29.04.2025
