Официальное опубликование правовых актов
ОФИЦИАЛЬНОЕ ОПУБЛИКОВАНИЕ
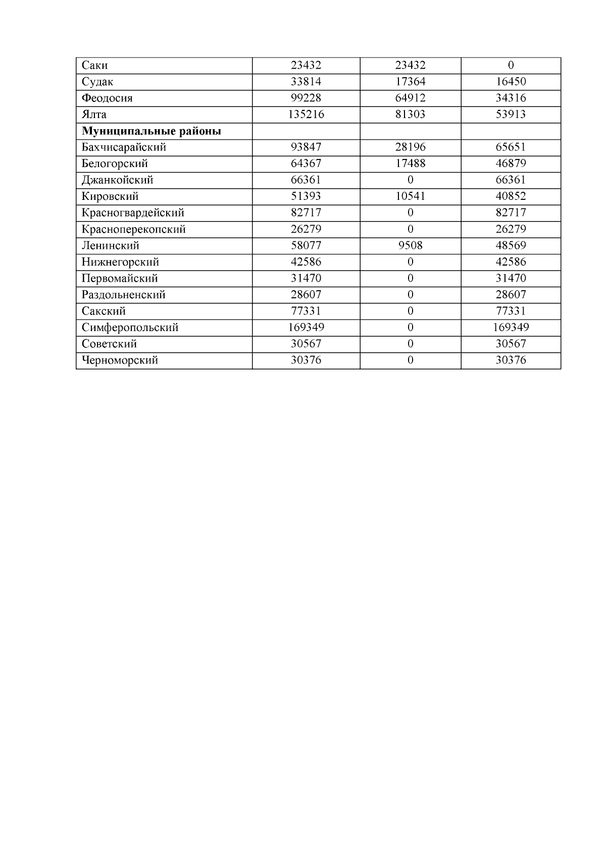
Приказ Министерства жилищно-коммунального хозяйства Республики Крым от 28.12.2024 № 932-А
"Об утверждении Территориальной схемы обращения с отходами, в том числе с твёрдыми коммунальными отходами, в Республике Крым"
(Зарегистрирован 14.04.2025 № 2330)
Номер опубликования: 9101202504160005
Дата опубликования: 16.04.2025
Страница №16 из 102:
Увеличить