Официальное опубликование правовых актов
ОФИЦИАЛЬНОЕ ОПУБЛИКОВАНИЕ
Приказ Министерства культуры Республики Крым от 12.03.2025 № 177-ОКН
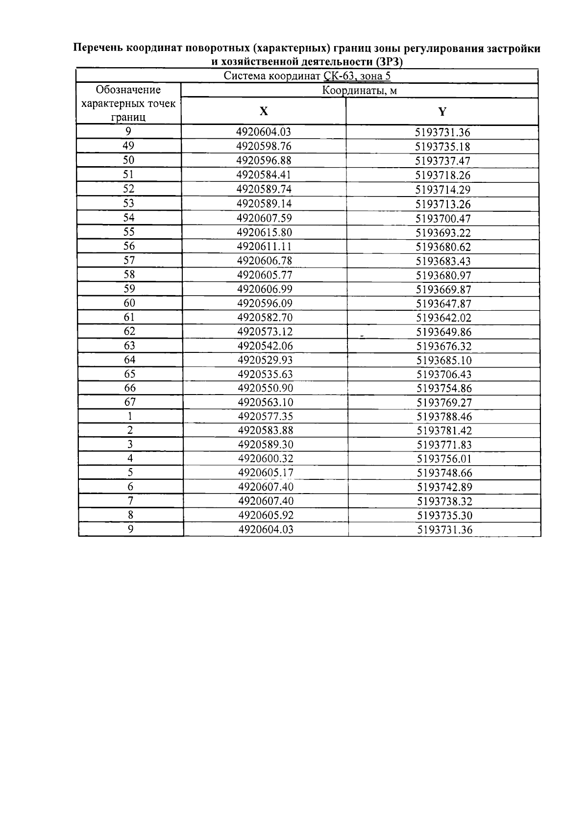
"Об утверждении границ зон охраны, режимов использования земель и требований к градостроительным регламентам в границах зон охраны объекта культурного наследия регионального значения "Здание женской гимназии (архитекторы Н.П. Краснов, Л.Н. Шаповалов)", конец XIX века - начало XX века, расположенного по адресу: Республика Крым, г. Ялта, ул. Войкова, 4, литер "А"
(Зарегистрирован 13.03.2025 № 2285)
Номер опубликования: 9101202503200010
Дата опубликования: 20.03.2025
Страница №7 из 11:
Увеличить