Официальное опубликование правовых актов
ОФИЦИАЛЬНОЕ ОПУБЛИКОВАНИЕ
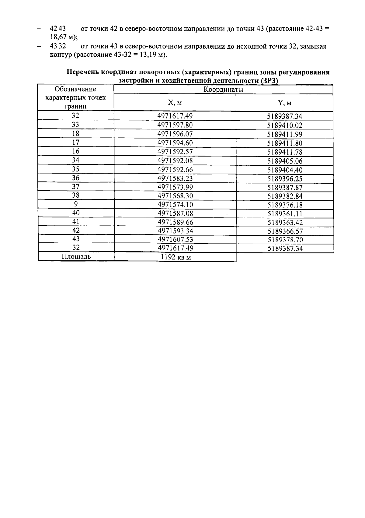
Приказ Министерства культуры Республики Крым от 12.03.2025 № 176-ОКН
"Об утверждении границ зон охраны, режимов использования земель и требований к градостроительным регламентам в границах зон охраны объекта культурного наследия регионального значения "Здание Таврической губернской земской управы", начало XX века, расположенного по адресу: Республика Крым, г. Симферополь, ул. Долгоруковская, 2/ ул. Жуковского, 3/ ул. К. Маркса, 17, литер "В"
(Зарегистрирован 13.03.2025 № 2284)
Номер опубликования: 9101202503200009
Дата опубликования: 20.03.2025
Страница №6 из 10:
Увеличить