Официальное опубликование правовых актов
ОФИЦИАЛЬНОЕ ОПУБЛИКОВАНИЕ
Приказ Министерства культуры Республики Крым от 25.02.2025 № 130-ОКН
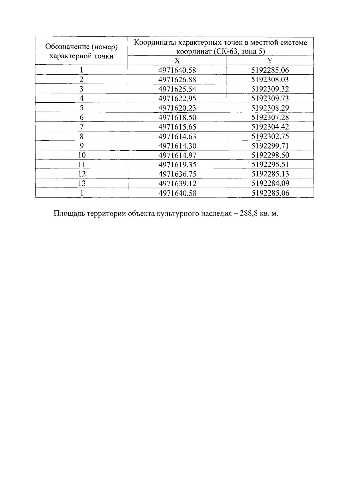
"О включении выявленного объекта культурного наследия "Памятный знак воинам 51-й Армии "Навечно в памяти народной 1941–1945 годы", расположенного по адресу: Республика Крым, г. Симферополь, ул.51-й Армии, в единый государственный реестр объектов культурного наследия (памятников истории и культуры) народов Российской Федерации в качестве объекта культурного наследия регионального значения и утверждении границ территории, режимов использования земель в границах территории объекта культурного наследия регионального значения"
(Зарегистрирован 26.02.2025 № 2255)
Номер опубликования: 9101202503050009
Дата опубликования: 05.03.2025
Страница №5 из 8:
Увеличить