Официальное опубликование правовых актов
ОФИЦИАЛЬНОЕ ОПУБЛИКОВАНИЕ
Приказ Министерства культуры Республики Крым от 03.02.2025 № 57-ОКН
"Об утверждении границ зон охраны, режимов использования земель и требований к градостроительным регламентам в границах зон охраны объекта культурного наследия федерального значения "Крепость "Кутлак", первая половина I века до н.э., расположенного по адресу: Республика Крым, городской округ Судак, сельское поселение Веселовское, с. Веселое"
(Зарегистрирован 04.02.2025 № 2187)
Номер опубликования: 9101202502070011
Дата опубликования: 07.02.2025
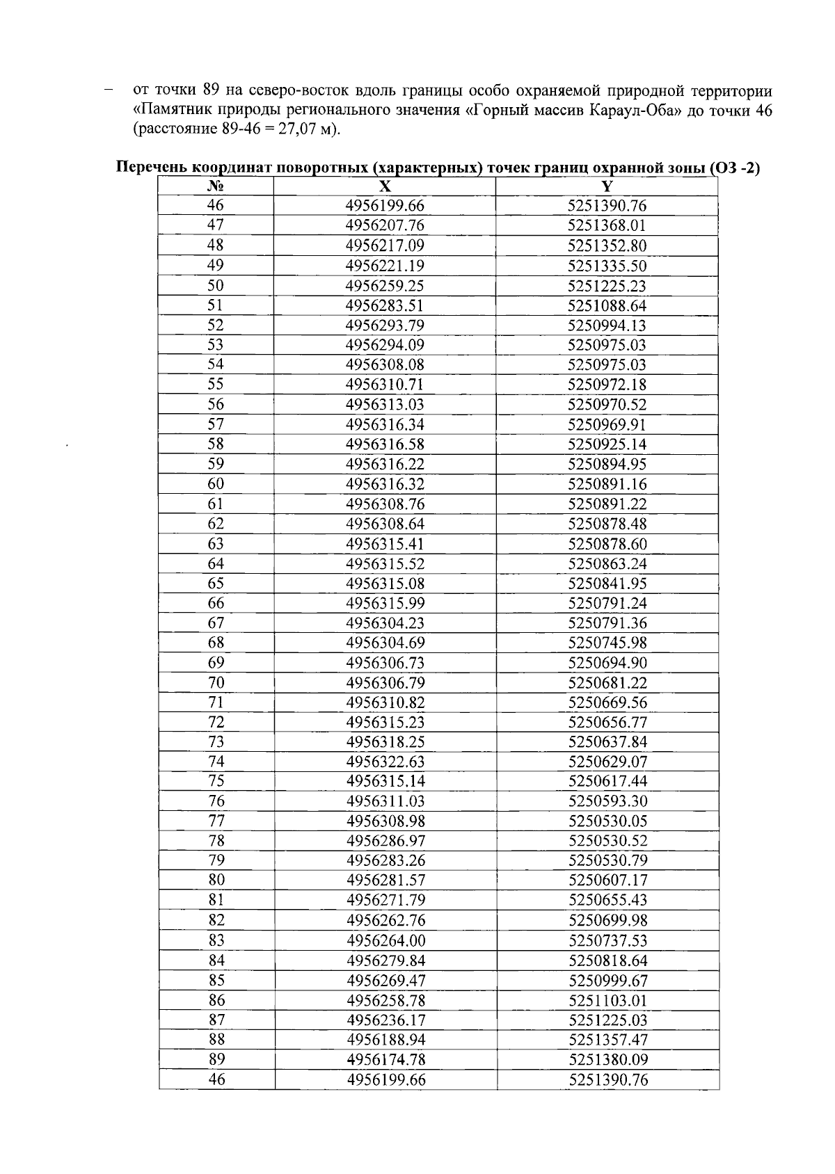
Страница №7 из 27:
Увеличить