Официальное опубликование правовых актов
ОФИЦИАЛЬНОЕ ОПУБЛИКОВАНИЕ
Приказ Министерства культуры Республики Крым от 23.12.2024 № 803-ОКН
"Об утверждении границ зон охраны, режимов использования земель и требований к градостроительным регламентам в границах зон охраны объекта культурного наследия регионального значения "Комплекс строений Дома творчества писателей имени А.П. Чехова": "Корпус жилой (архитекторы И.Г. Татиев и О.К. Быстрова)", 1956 год; "Клуб-столовая (архитекторы И.Г. Татиев и О.К. Быстрова)", 1956 год; "Административный корпус", начало XX века (ансамбль), расположенного по адресу: Республика Крым, г. Ялта, ул. Манагарова, 7, литер "А", "Б", "В"
(Зарегистрирован 24.12.2024 № 2060)
Номер опубликования: 9101202412260014
Дата опубликования: 26.12.2024
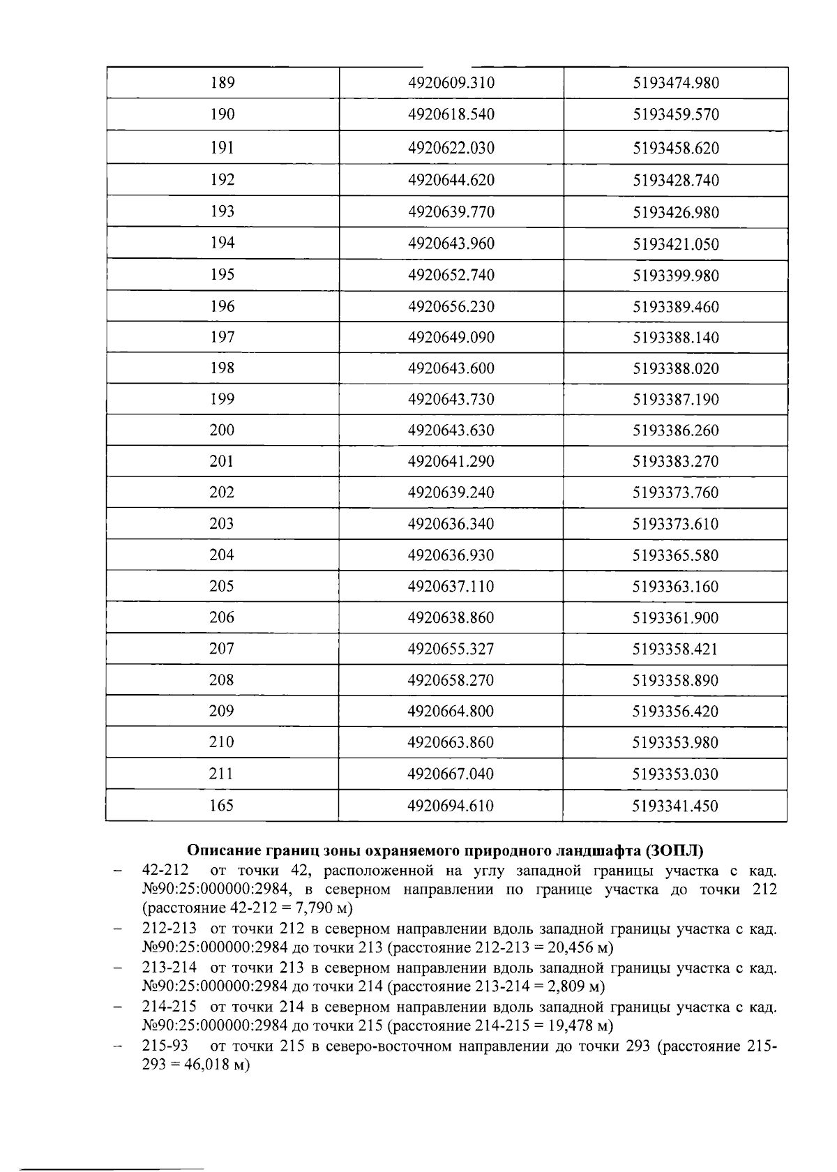
Страница №24 из 32:
Увеличить