Официальное опубликование правовых актов
ОФИЦИАЛЬНОЕ ОПУБЛИКОВАНИЕ
Приказ Министерства культуры Республики Крым от 20.12.2024 № 800-ОКН
"Об утверждении границ зон охраны, режимов использования земель и требований к градостроительным регламентам в границах зон охраны объекта культурного наследия регионального значения "Дача Н.И. Ефимова", начало XX века, расположенного по адресу: Республика Крым, г. Евпатория, ул. Маяковского, 3, литер "А", спальный корпус № 3"
(Зарегистрирован 23.12.2024 № 2054)
Номер опубликования: 9101202412260007
Дата опубликования: 26.12.2024
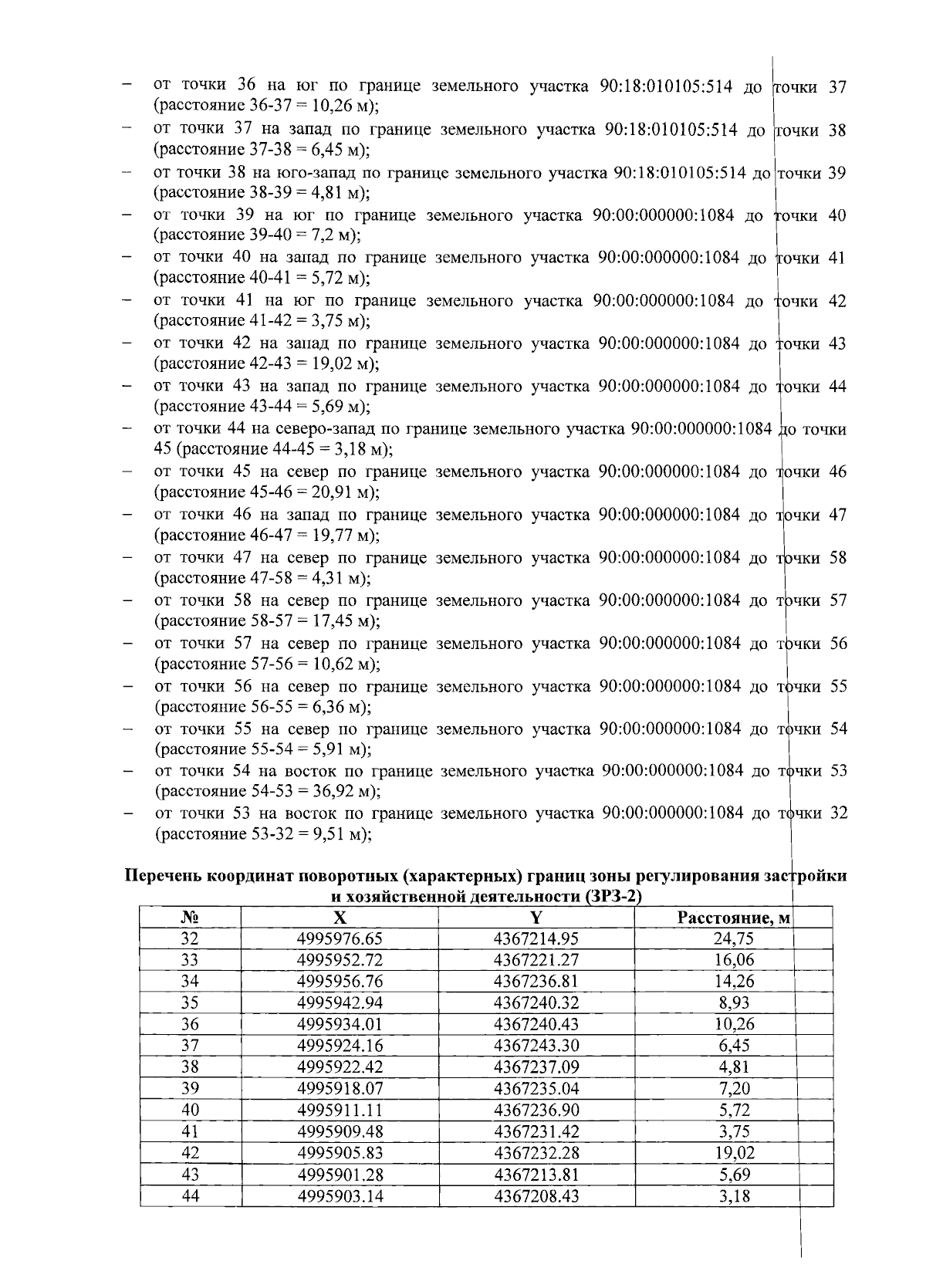
Страница №7 из 16:
Увеличить