Официальное опубликование правовых актов
ОФИЦИАЛЬНОЕ ОПУБЛИКОВАНИЕ
Приказ Министерства культуры Республики Крым от 05.12.2024 № 731-ОКН
"Об утверждении границ зон охраны, режимов использования земель и требований к градостроительным регламентам в границах зон охраны объекта культурного наследия федерального значения "Старинная церковь", X – XII век, расположенного по адресу: Республика Крым, г. Старый Крым, ул. П. Осипенко, д. 2"
(Зарегистрирован 12.12.2024 № 1974)
Номер опубликования: 9101202412130019
Дата опубликования: 13.12.2024
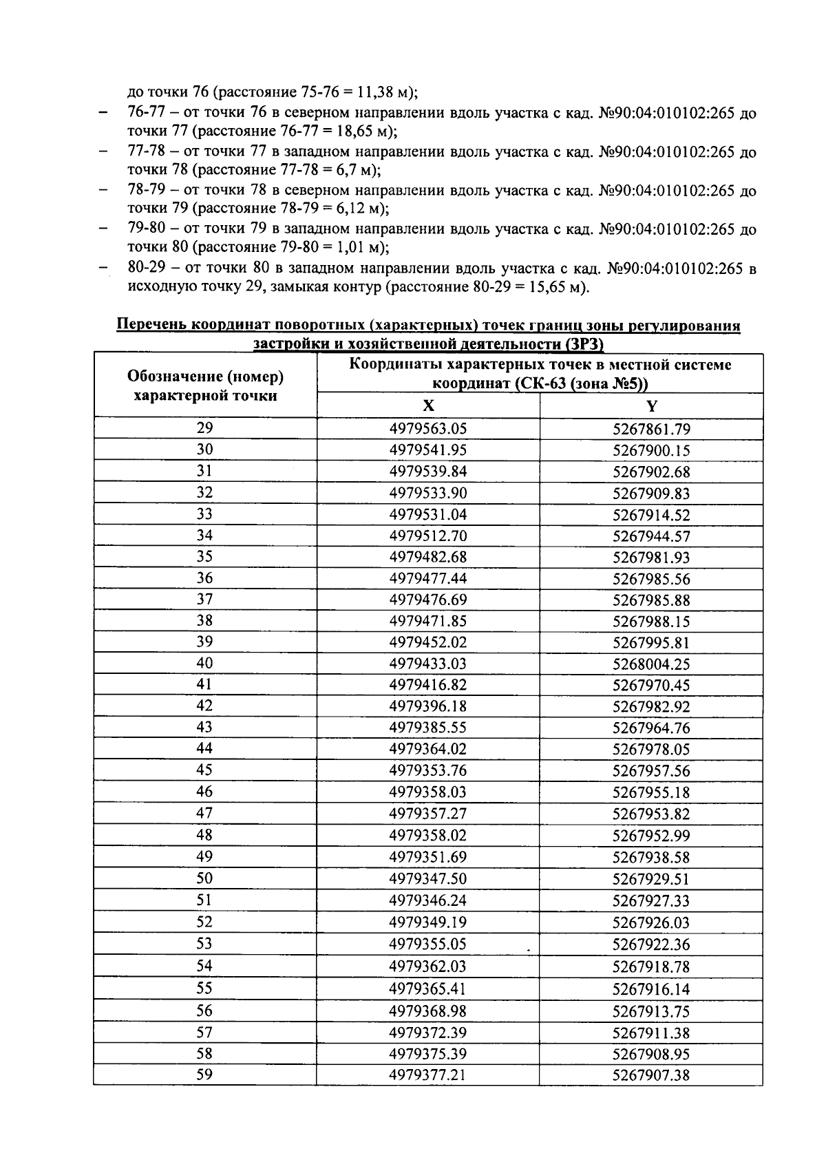
Страница №8 из 13:
Увеличить