Официальное опубликование правовых актов
ОФИЦИАЛЬНОЕ ОПУБЛИКОВАНИЕ
Приказ Министерства культуры Республики Крым от 01.10.2024 № 499-ОКН
"Об утверждении границ территории, режимов использования земель в границах территории объекта культурного наследия регионального значения "Вилла "Елена" И.В. Тихомирова (архитектор Л.Н. Шаповалов)", начало XX века, расположенного по адресу: Республика Крым, г. Ялта, ул. Краснова, 2, литер "А"
(Зарегистрирован 02.10.2024 № 1717)
Номер опубликования: 9101202410070012
Дата опубликования: 07.10.2024
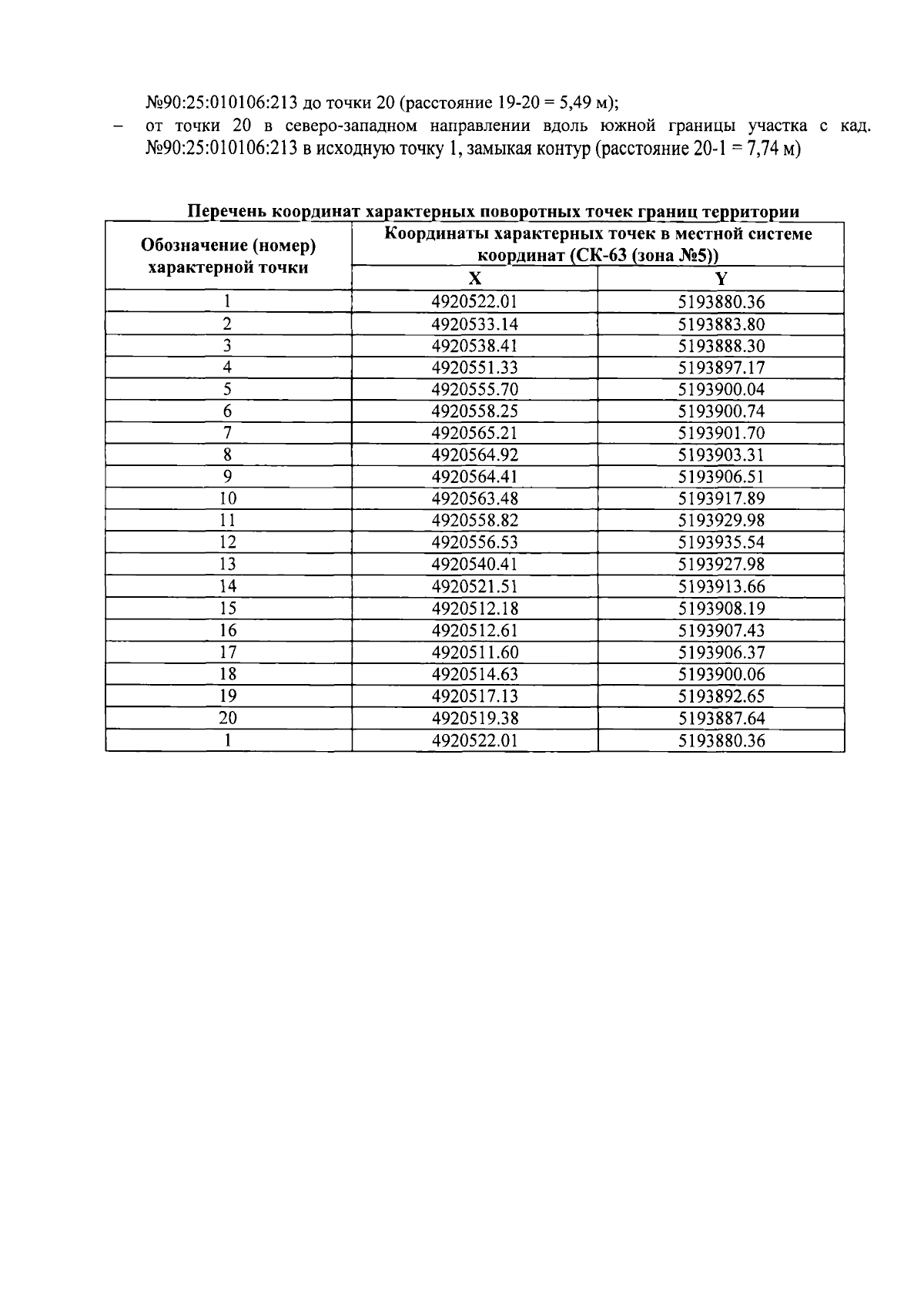
Страница №5 из 7:
Увеличить