Официальное опубликование правовых актов
ОФИЦИАЛЬНОЕ ОПУБЛИКОВАНИЕ
Приказ Министерства культуры Республики Крым от 01.10.2024 № 502-ОКН
"Об утверждении границ зон охраны, режимов использования земель и требований к градостроительным регламентам в границах зон охраны объекта культурного наследия регионального значения "Дом А.Л. Врангеля", 70-е годы XIX века, расположенного по адресу: Республика Крым, г. Ялта, ул. Садовая, 1, литер "А"
(Зарегистрирован 02.10.2024 № 1720)
Номер опубликования: 9101202410070006
Дата опубликования: 07.10.2024
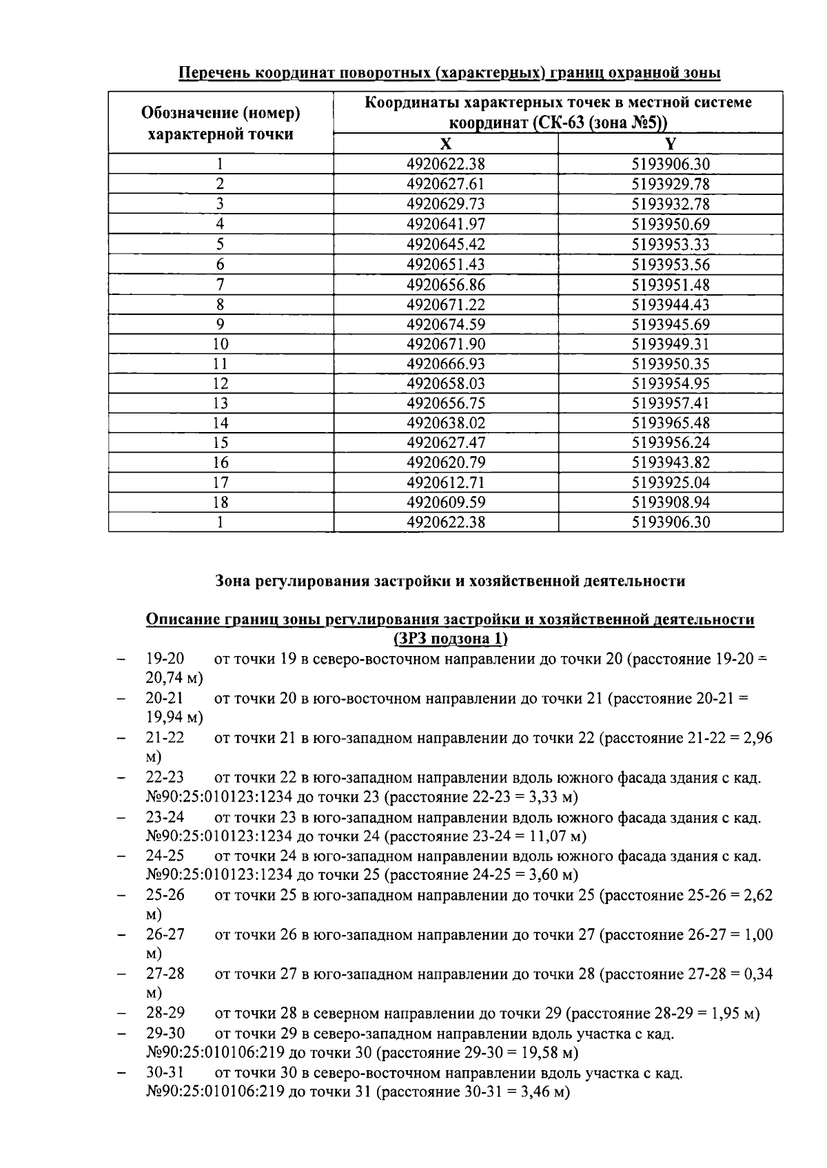
Страница №5 из 11:
Увеличить