Официальное опубликование правовых актов
ОФИЦИАЛЬНОЕ ОПУБЛИКОВАНИЕ
Приказ Министерства культуры Республики Крым от 01.10.2024 № 496-ОКН
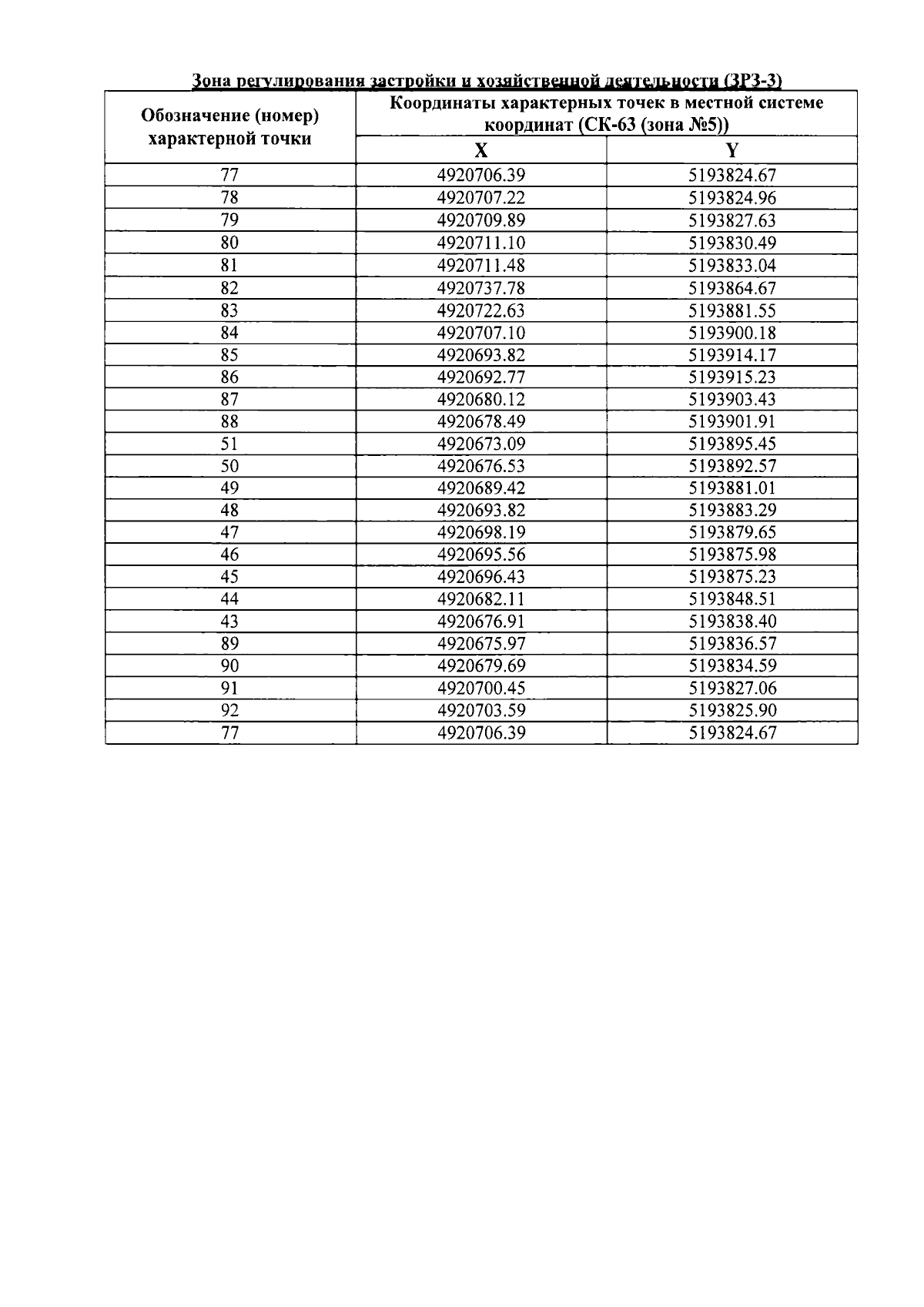
"Об утверждении границ зон охраны, режимов использования земель и требований к градостроительным регламентам в границах зон охраны объекта культурного наследия регионального значения "Собор Александра Невского (архитекторы Н.П. Краснов, П.К. Теребенев)", конец XIX века - начало XX века, расположенного по адресу: Республика Крым, г. Ялта, ул. Войкова, 1, литер "А"
(Зарегистрирован 02.10.2024 № 1714)
Номер опубликования: 9101202410070002
Дата опубликования: 07.10.2024
Страница №10 из 15:
Увеличить