Официальное опубликование правовых актов
ОФИЦИАЛЬНОЕ ОПУБЛИКОВАНИЕ
Приказ Министерства культуры Республики Крым от 03.09.2024 № 441-ОКН
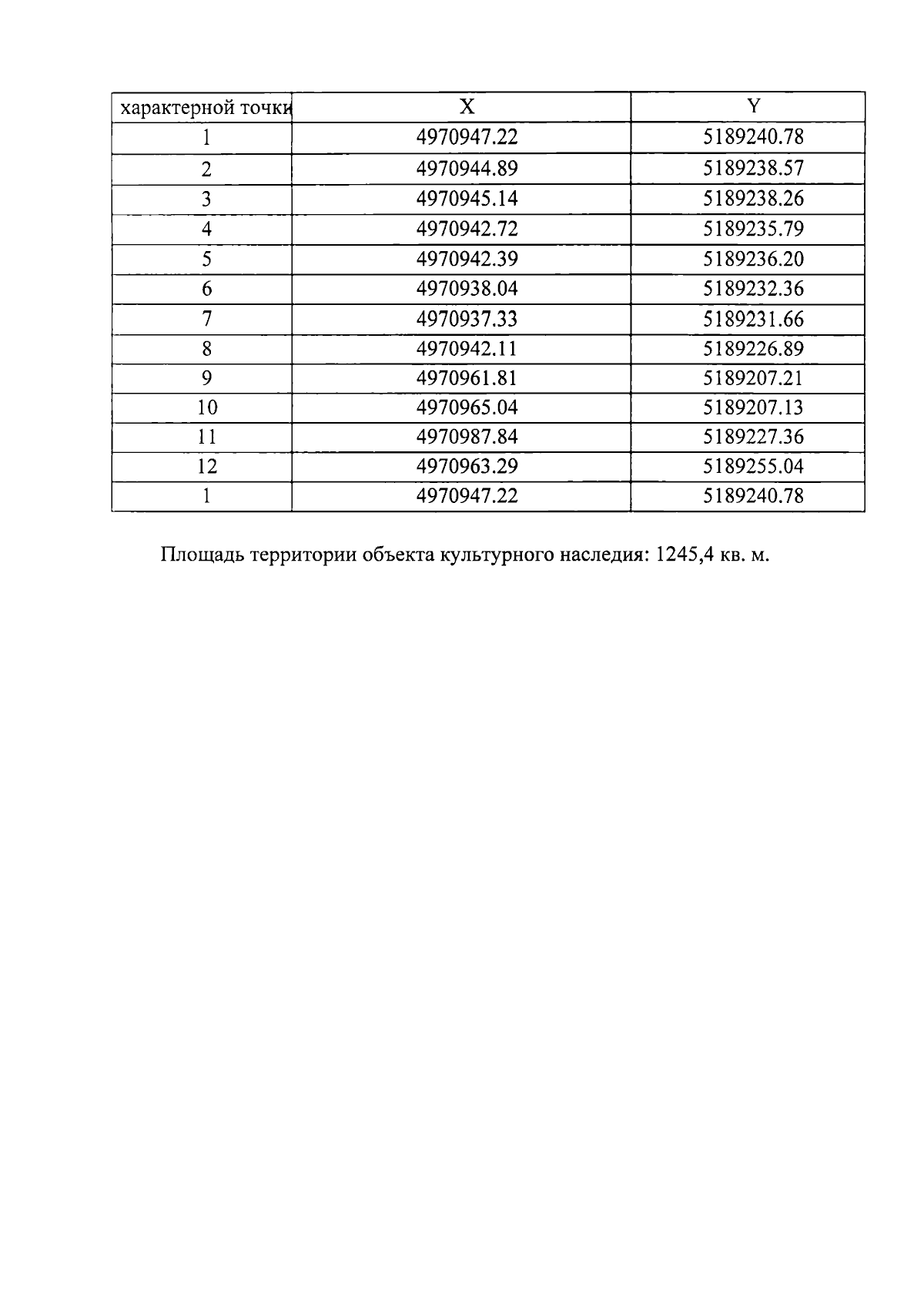
"О включении выявленного объекта культурного наследия "Дом купца Я. Альянаки", конец XIX века – начало ХХ века, расположенного по адресу: Республика Крым, г. Симферополь, ул. Пушкина, 20/ул. Самокиша, 7, литер "О", в единый государственный реестр объектов культурного наследия (памятников истории и культуры) народов Российской Федерации в качестве объекта культурного наследия регионального значения и утверждении границ территории, режимов использования земель в границах территории объекта культурного наследия регионального значения"
(Зарегистрирован 09.09.2024 № 1660)
Номер опубликования: 9101202409100005
Дата опубликования: 10.09.2024
Страница №5 из 8:
Увеличить