Официальное опубликование правовых актов
ОФИЦИАЛЬНОЕ ОПУБЛИКОВАНИЕ
Приказ Министерства культуры Республики Крым от 21.08.2024 № 416-ОКН
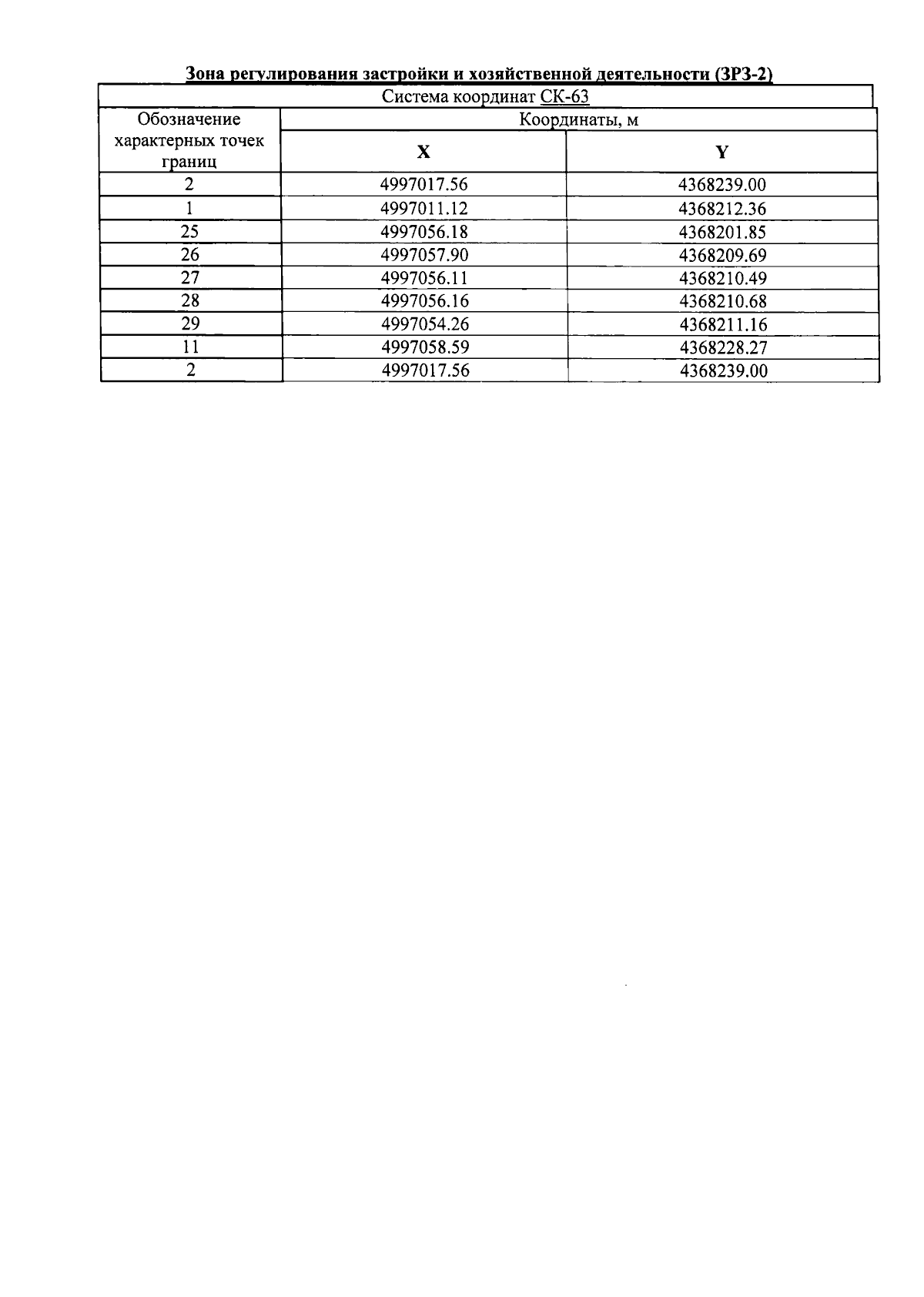
"Об утверждении границ зон охраны, режимов использования земель и требований к градостроительным регламентам в границах зон охраны объекта культурного наследия регионального значения "Дача", начало XX века, расположенного по адресу: Республика Крым, г. Евпатория, ул. Санаторская, 8/11, литеры "А", "А2"
(Зарегистрирован 26.08.2024 № 1625)
Номер опубликования: 9101202408280006
Дата опубликования: 28.08.2024
Страница №5 из 9:
Увеличить