Официальное опубликование правовых актов
ОФИЦИАЛЬНОЕ ОПУБЛИКОВАНИЕ
Приказ Министерства культуры Республики Крым от 17.08.2023 № 265-окн
"О внесении изменений в приказ Министерства культуры Республики Крым от 13.05.2022 № 257-ОКН"
(Зарегистрирован 21.08.2023 № 612)
Номер опубликования: 9101202308280013
Дата опубликования: 28.08.2023
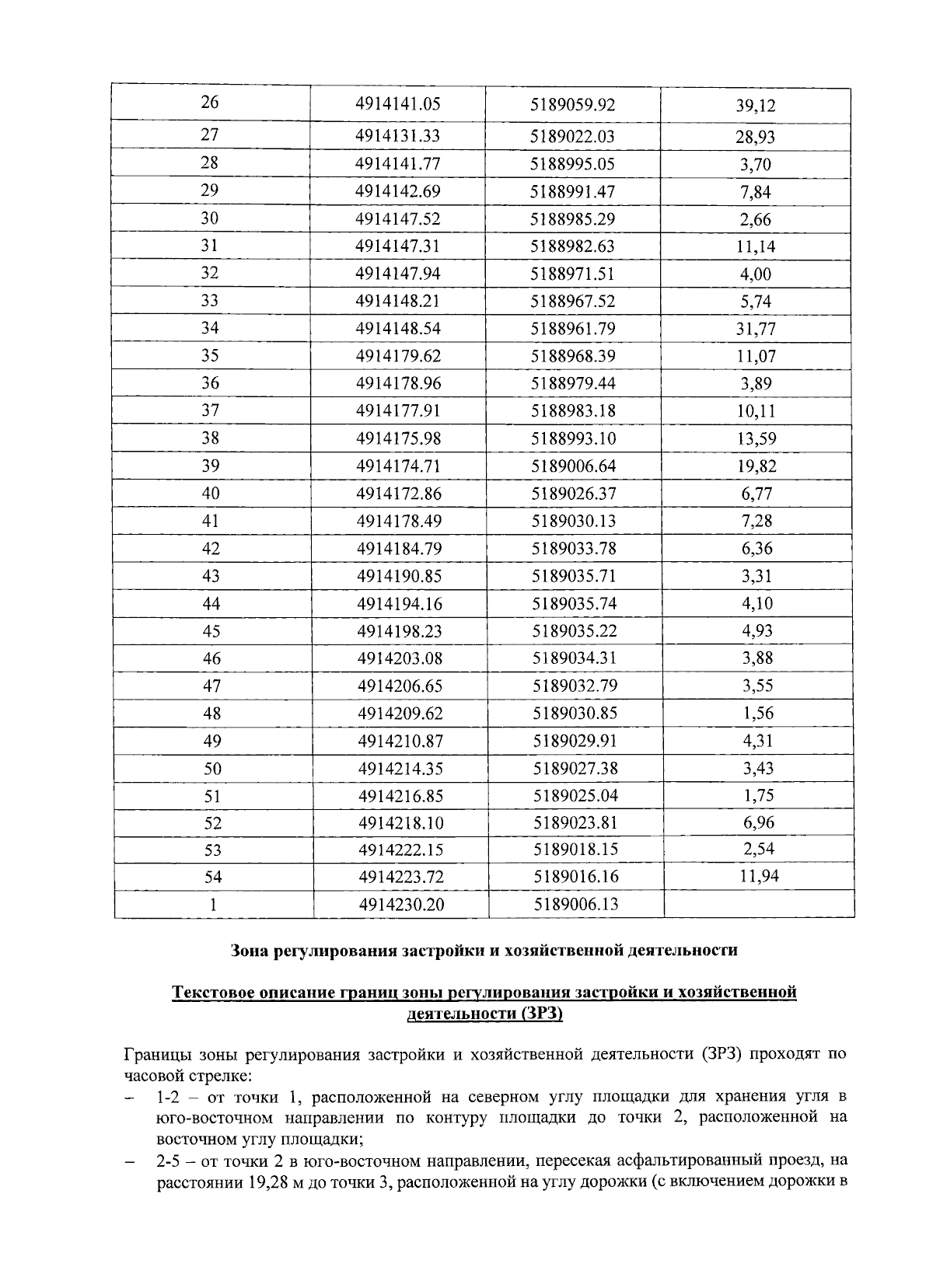
Страница №5 из 11:
Увеличить