Официальное опубликование правовых актов
ОФИЦИАЛЬНОЕ ОПУБЛИКОВАНИЕ
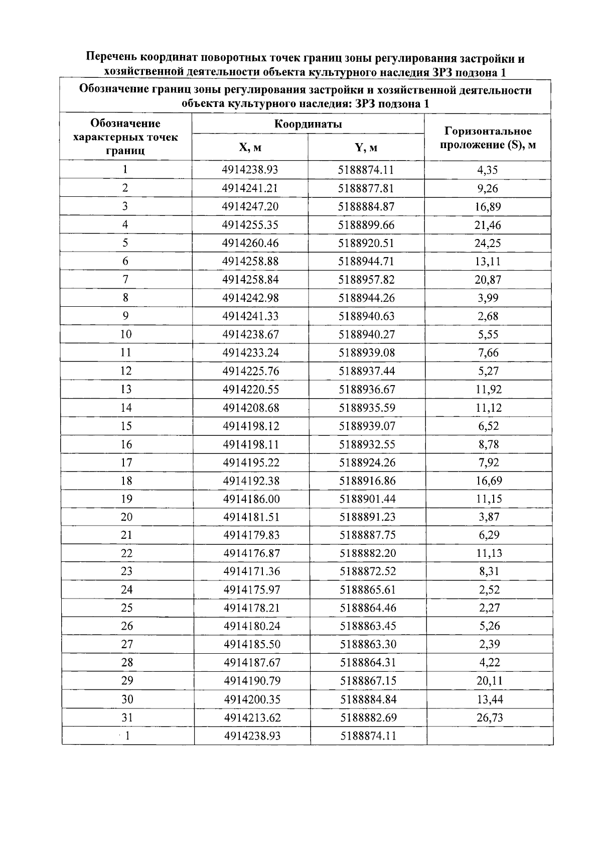
Приказ Министерства культуры Республики Крым от 17.08.2023 № 264-окн
"О внесении изменений в приказ Министерства культуры Республики Крым от 13.05.2022 № 255-ОКН"
(Зарегистрирован 21.08.2023 № 611)
Номер опубликования: 9101202308280009
Дата опубликования: 28.08.2023
Страница №7 из 17:
Увеличить