Официальное опубликование правовых актов
ОФИЦИАЛЬНОЕ ОПУБЛИКОВАНИЕ
Приказ Министерства культуры Республики Крым от 07.07.2023 № 192-окн
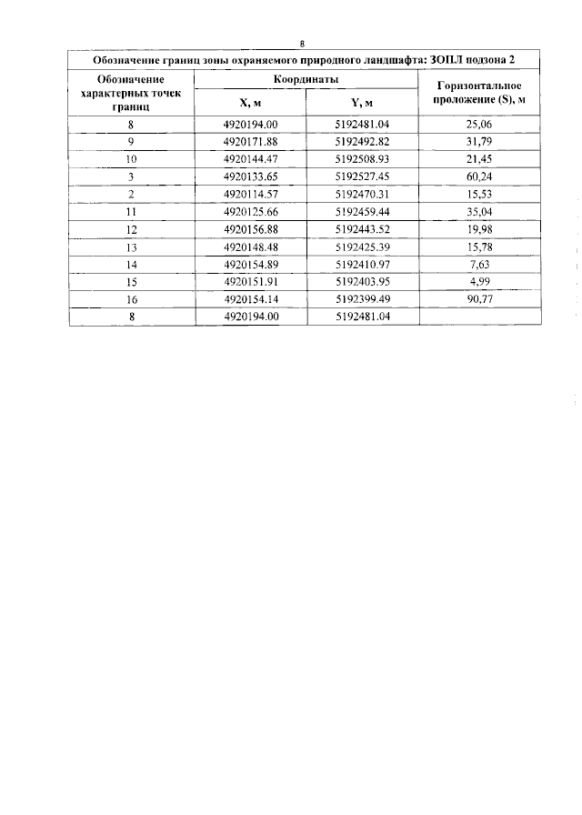
"Об утверждении границ зон охраны, режимов использования земель и требований к градостроительным регламентам в границах зон охраны объекта культурного наследия регионального значения "Дача "Геталита" генерал-лейтенанта графа И.Г. Ностица, конец XIX века - начало XX века", расположенного по адресу: Республика Крым, г. Ялта, ул. Ломоносова, 27, литеры "А", "А1", "а1", "а2", "а6", "а9", "а1", "а1/10", "а/а10"
(Зарегистрирован 11.07.2023 № 495)
Номер опубликования: 9101202307140006
Дата опубликования: 14.07.2023
Страница №7 из 12:
Увеличить