Официальное опубликование правовых актов
ОФИЦИАЛЬНОЕ ОПУБЛИКОВАНИЕ
Приказ Министерства культуры Республики Крым от 17.05.2022 № 276-окн
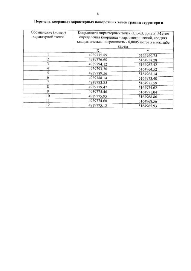
"Об утверждении границ территории, режимов использования земель в границах территории объекта культурного наследия регионального значения "Братская и одиночные могилы советских воинов, 1944 год", расположенного по адресу: Республика Крым, Бахчисарайский район, сельское поселение Куйбышевское, с. Танковое, сельское кладбище"
Номер опубликования: 9101202205230008
Дата опубликования: 23.05.2022
Страница №4 из 6:
Увеличить