Официальное опубликование правовых актов
ОФИЦИАЛЬНОЕ ОПУБЛИКОВАНИЕ
Приказ Министерства культуры Республики Крым от 13.05.2022 № 255-окн
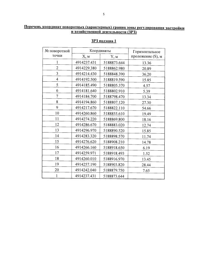
"Об утверждении границ зон охраны, режимов использования земель и требований к градостроительным регламентам в границах зон охраны объекта культурного наследия регионального значения "Особняк, конец XIX века - начало XX века", расположенного по адресу: Республика Крым, городской округ Ялта, пгт Гаспра, ул. Севастопольское шоссе, 8 (корпус № 1 - литеры "А", "Б")"
Номер опубликования: 9101202205160001
Дата опубликования: 16.05.2022
Страница №4 из 10:
Увеличить