Официальное опубликование правовых актов
ОФИЦИАЛЬНОЕ ОПУБЛИКОВАНИЕ
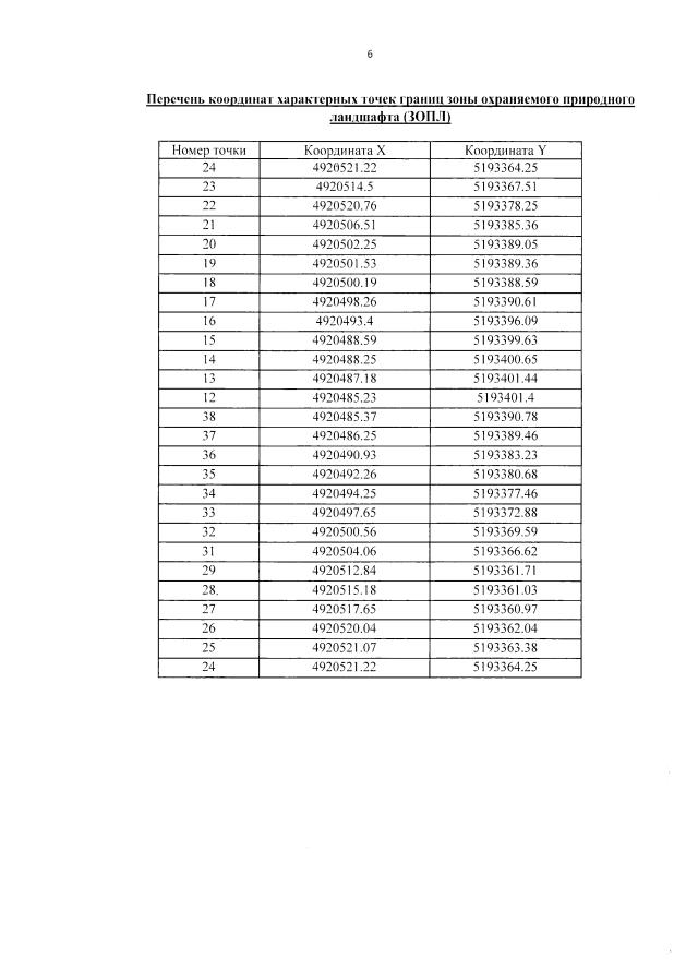
Приказ Министерства культуры Республики Крым от 16.03.2022 № 99-окн
"Об утверждении границ зон охраны, режимов использования земель и требований к градостроительным регламентам в границах зон охраны объекта культурного наследия регионального значения "Дом А.Л. Бертье-Делагарда (архитектор Н.П. Краснов), конец XIX века - начало XX века", расположенного по адресу: Республика Крым, г. Ялта, ул. Кирова, 17, литер "А"
Номер опубликования: 9101202203210013
Дата опубликования: 21.03.2022
Страница №6 из 9:
Увеличить