Официальное опубликование правовых актов
ОФИЦИАЛЬНОЕ ОПУБЛИКОВАНИЕ
Приказ Министерства культуры Республики Крым от 16.03.2022 № 97-окн
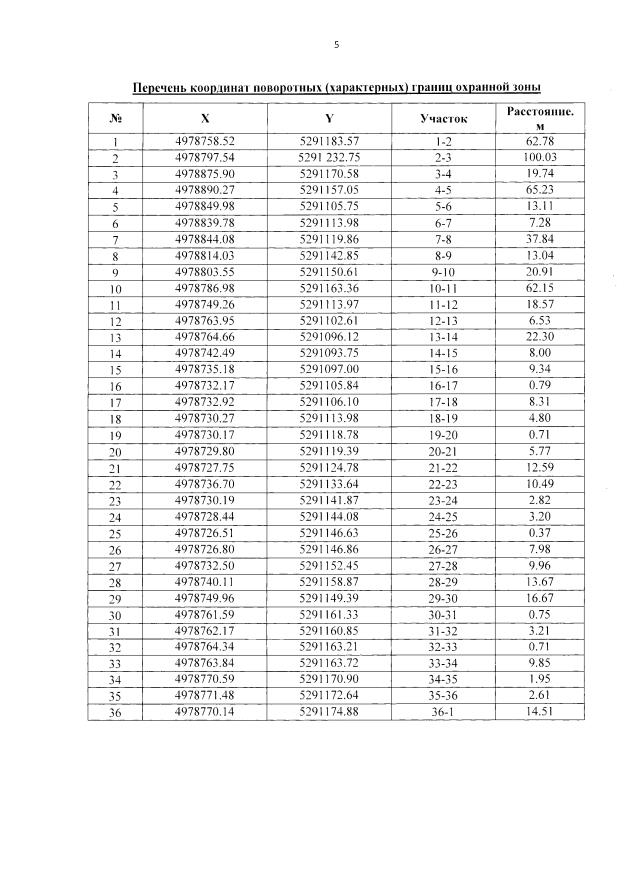
"Об утверждении границ зон охраны, режимов использования земель и требований к градостроительным регламентам в границах зон охраны объекта культурного наследия регионального значения "Здание Азово-Донского коммерческого банка, начало XX века", расположенного по адресу: Республика Крым, г. Феодосия, ул. Горького, 12, литер "А"
Номер опубликования: 9101202203210003
Дата опубликования: 21.03.2022
Страница №5 из 17:
Увеличить