Официальное опубликование правовых актов
ОФИЦИАЛЬНОЕ ОПУБЛИКОВАНИЕ
Приказ Министерства культуры Республики Крым от 03.03.2022 № 61-окн
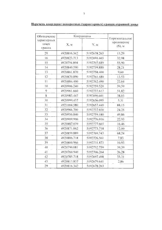
"Об утверждении границ зон охраны, режимов использования земель и требований к градостроительным регламентам в границах зон охраны объекта культурного наследия регионального значения "Парк санатория им. А.П. Чехова, середина XX века", расположенного по адресу: Республика Крым, г. Ялта, ул. Халтурина, 32, 32-а"
Номер опубликования: 9101202203140020
Дата опубликования: 14.03.2022
Страница №5 из 12:
Увеличить