Официальное опубликование правовых актов
ОФИЦИАЛЬНОЕ ОПУБЛИКОВАНИЕ
Приказ Министерства культуры Республики Крым от 14.12.2021 № 591-окн
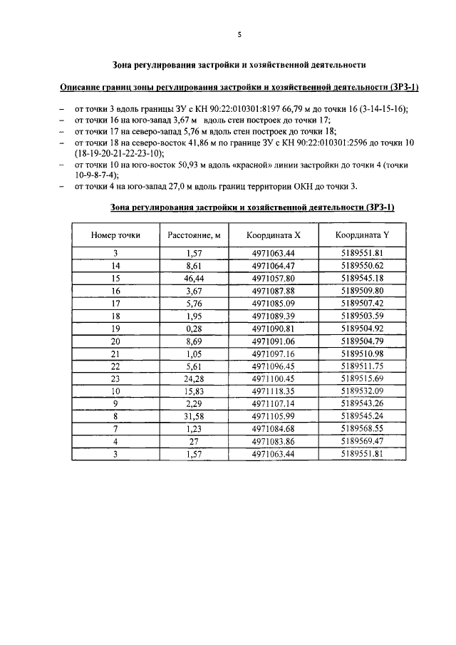
"Об утверждении границ зон охраны, режимов использования земель и требований к градостроительным регламентам в границах зон охраны объекта культурного наследия регионального значения "Доходный дом Я.С. Панченко, конец XIX века", расположенного по адресу: Республика Крым, г. Симферополь, пр-кт Кирова, 30/ул. Горького, 2, литер "А"
Номер опубликования: 9101202112230025
Дата опубликования: 23.12.2021
Страница №5 из 12:
Увеличить