Официальное опубликование правовых актов
ОФИЦИАЛЬНОЕ ОПУБЛИКОВАНИЕ
Приказ Министерства здравоохранения Республики Крым от 13.12.2021 № 3790
"О внесении изменений в приказ Министерства здравоохранения Республики Крым от 27 декабря 2019 года № 2556"
Номер опубликования: 9101202112220022
Дата опубликования: 22.12.2021
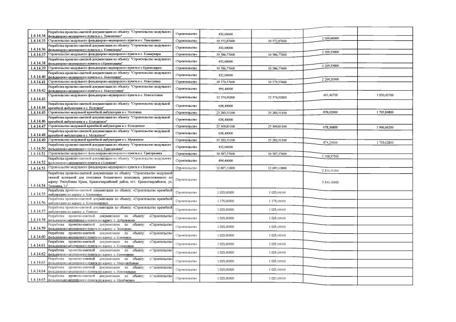
Страница №61 из 82:
Увеличить