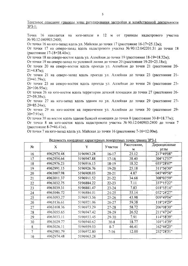
Приказ Министерства культуры Республики Крым от 09.09.2021 № 410-окн
"Об утверждении границ зон охраны, режимов использования земель и требований к градостроительным регламентам в границах зон охраны объекта культурного наследия регионального значения "Дом графини А.Ф. Монжене, XIX век", расположенного по адресу: Республика Крым, Симферопольский район, сельское поселение Добровское, с. Пионерское, ул. Аллейная"
"Об утверждении границ зон охраны, режимов использования земель и требований к градостроительным регламентам в границах зон охраны объекта культурного наследия регионального значения "Дом графини А.Ф. Монжене, XIX век", расположенного по адресу: Республика Крым, Симферопольский район, сельское поселение Добровское, с. Пионерское, ул. Аллейная"
Номер опубликования: 9101202109100001
Дата опубликования:
10.09.2021
