Официальное опубликование правовых актов
ОФИЦИАЛЬНОЕ ОПУБЛИКОВАНИЕ
Приказ Службы по экологическому и технологическому надзору Республики Крым от 23.07.2021 № 134-п
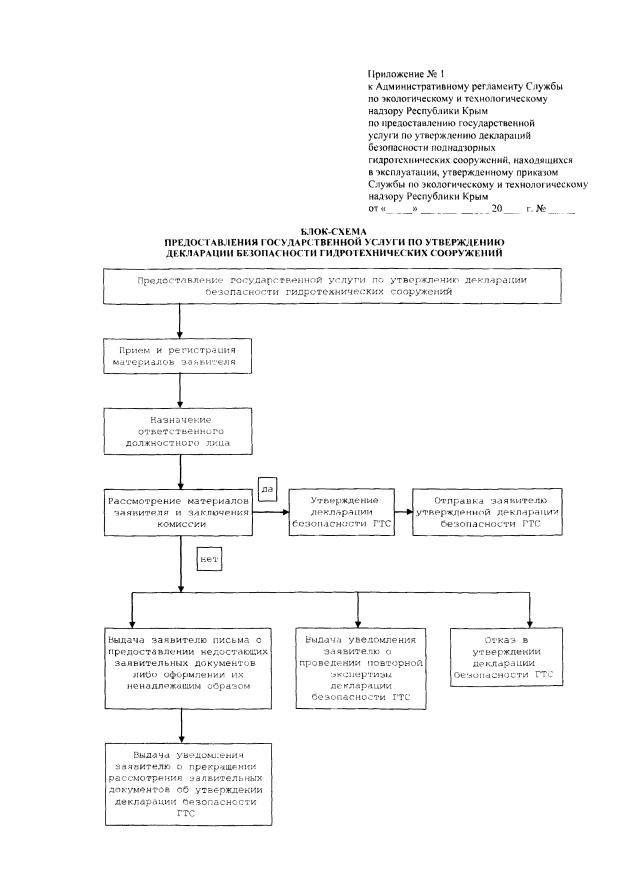
"О внесении изменений в приказ Службы по экологическому и технологическому надзору Республики Крым от 19 августа 2015 года № 138 "Об утверждении Административного регламента Службы по экологическому и технологическому надзору Республики Крым по предоставлению государственной услуги по утверждению деклараций безопасности поднадзорных гидротехнических сооружений, находящихся в эксплуатации"
Номер опубликования: 9101202107280002
Дата опубликования: 28.07.2021
Страница №30 из 34:
Увеличить