Официальное опубликование правовых актов
ОФИЦИАЛЬНОЕ ОПУБЛИКОВАНИЕ
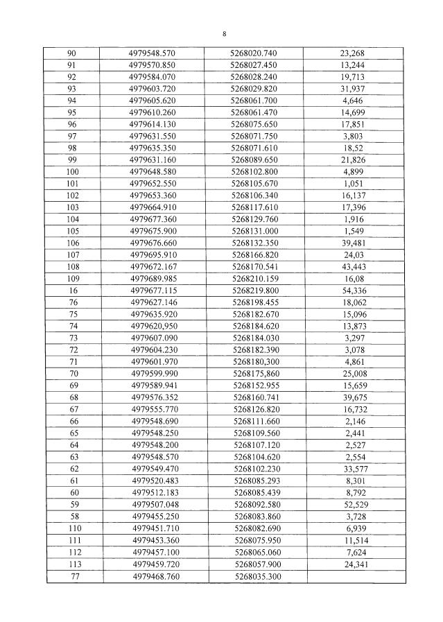
Приказ Министерства культуры Республики Крым от 05.07.2021 № 248-окн
"Об утверждении границ зон охраны, режимов использования земель и требований к градостроительным регламентам в границах зон охраны объекта культурного наследия федерального значения "Мечеть и медресе, 1314 год" (ансамбль), расположенного по адресу: Республика Крым, г. Старый Крым, пер. Чапаева, д. 5"
Номер опубликования: 9101202107060007
Дата опубликования: 06.07.2021
Страница №7 из 15:
Увеличить