Официальное опубликование правовых актов
ОФИЦИАЛЬНОЕ ОПУБЛИКОВАНИЕ
Приказ Министерства культуры Республики Крым от 05.07.2021 № 250-окн
"Об утверждении границ зон охраны, режимов использования земель и требований к градостроительным регламентам в границах зон охраны объекта культурного наследия регионального значения "Комплекс строений усадьбы Арендтов - Ребец, середина XIX века" (ансамбль), расположенного по адресу: Республика Крым, г. Симферополь, ул. К. Маркса, 25, литер "А"/ул. Долгоруковская, 14, литеры "Б", "Д", "Е"
Номер опубликования: 9101202107060006
Дата опубликования: 06.07.2021
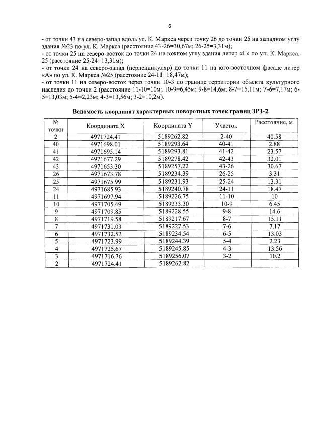
Страница №5 из 10:
Увеличить