Официальное опубликование правовых актов
ОФИЦИАЛЬНОЕ ОПУБЛИКОВАНИЕ
Приказ Министерства культуры Республики Крым от 31.05.2021 № 157-окн
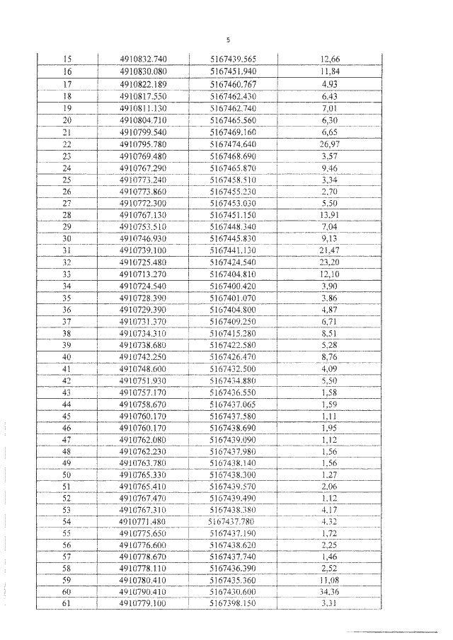
"Об утверждении границ зон охраны, режимов использования земель и требований к градостроительным регламентам в границах зон охраны объекта культурного наследия регионального значения "Особняк Е.Г. Кузнецовой, начало XX века", расположенного по адресу: Республика Крым, городской округ Ялта, п. Санаторное, ул. Гагарина, 15, литер "Х", корпус № 2"
Номер опубликования: 9101202106030006
Дата опубликования: 03.06.2021
Страница №5 из 17:
Увеличить