Официальное опубликование правовых актов
ОФИЦИАЛЬНОЕ ОПУБЛИКОВАНИЕ
Приказ Министерства культуры Республики Крым от 28.05.2021 № 136-окн
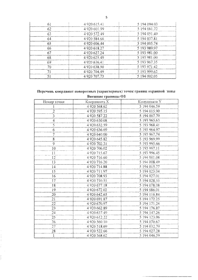
"Об утверждении границ зон охраны, режимов использования земель и требований к градостроительным регламентам в границах зон охраны объекта культурного наследия регионального значения "Комплекс зданий гостиницы "Россия", XIX век", расположенного по адресу: Республика Крым, г. Ялта, наб. им. В.И. Ленина, 11, литер "А"; наб. им. В.И. Ленина, 13/ул. Садовая, 3, литер "А"
Номер опубликования: 9101202106010008
Дата опубликования: 01.06.2021
Страница №5 из 14:
Увеличить