Официальное опубликование правовых актов
ОФИЦИАЛЬНОЕ ОПУБЛИКОВАНИЕ
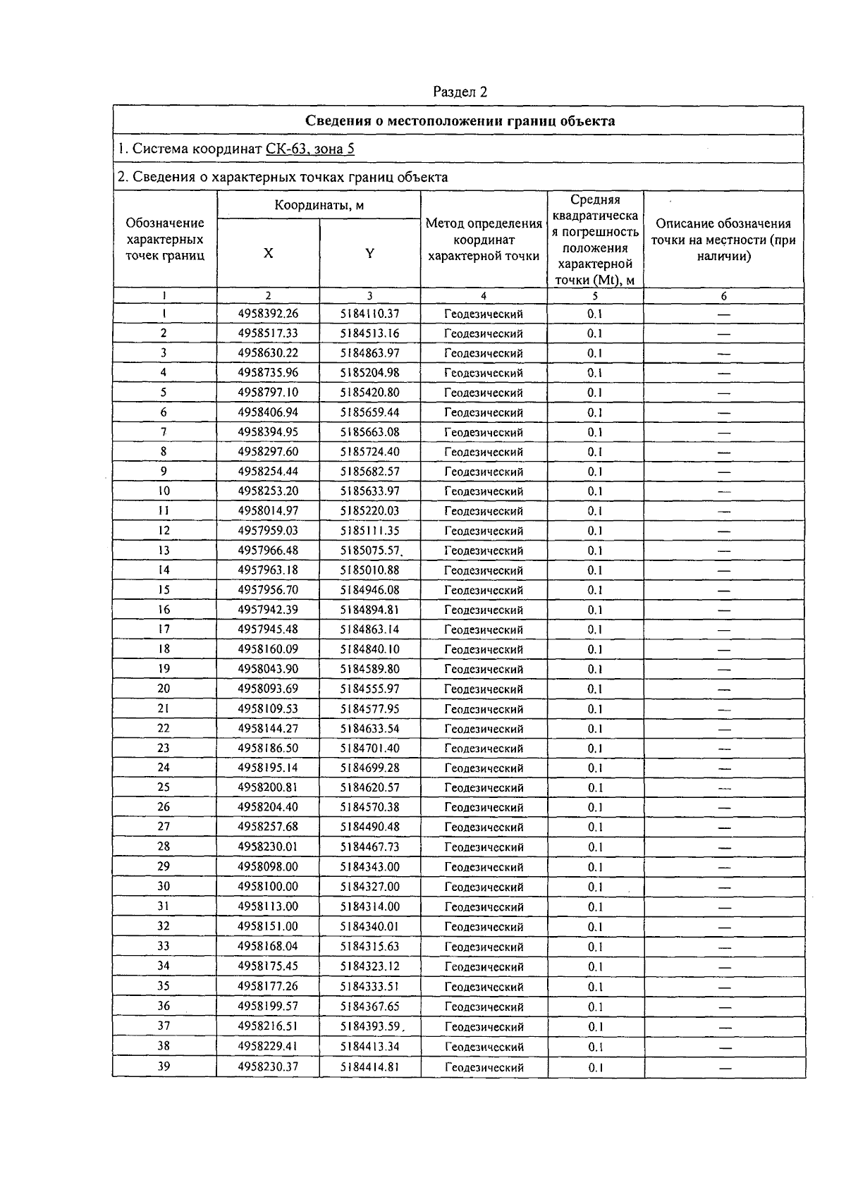
Постановление Совета министров Республики Крым от 23.12.2025 № 906
"О создании особо охраняемой природной территории регионального значения Республики Крым государственного природного заказника "Холодная балка"
Номер опубликования: 9100202512250001
Дата опубликования: 25.12.2025
Страница №17 из 18:
Увеличить