Официальное опубликование правовых актов
ОФИЦИАЛЬНОЕ ОПУБЛИКОВАНИЕ
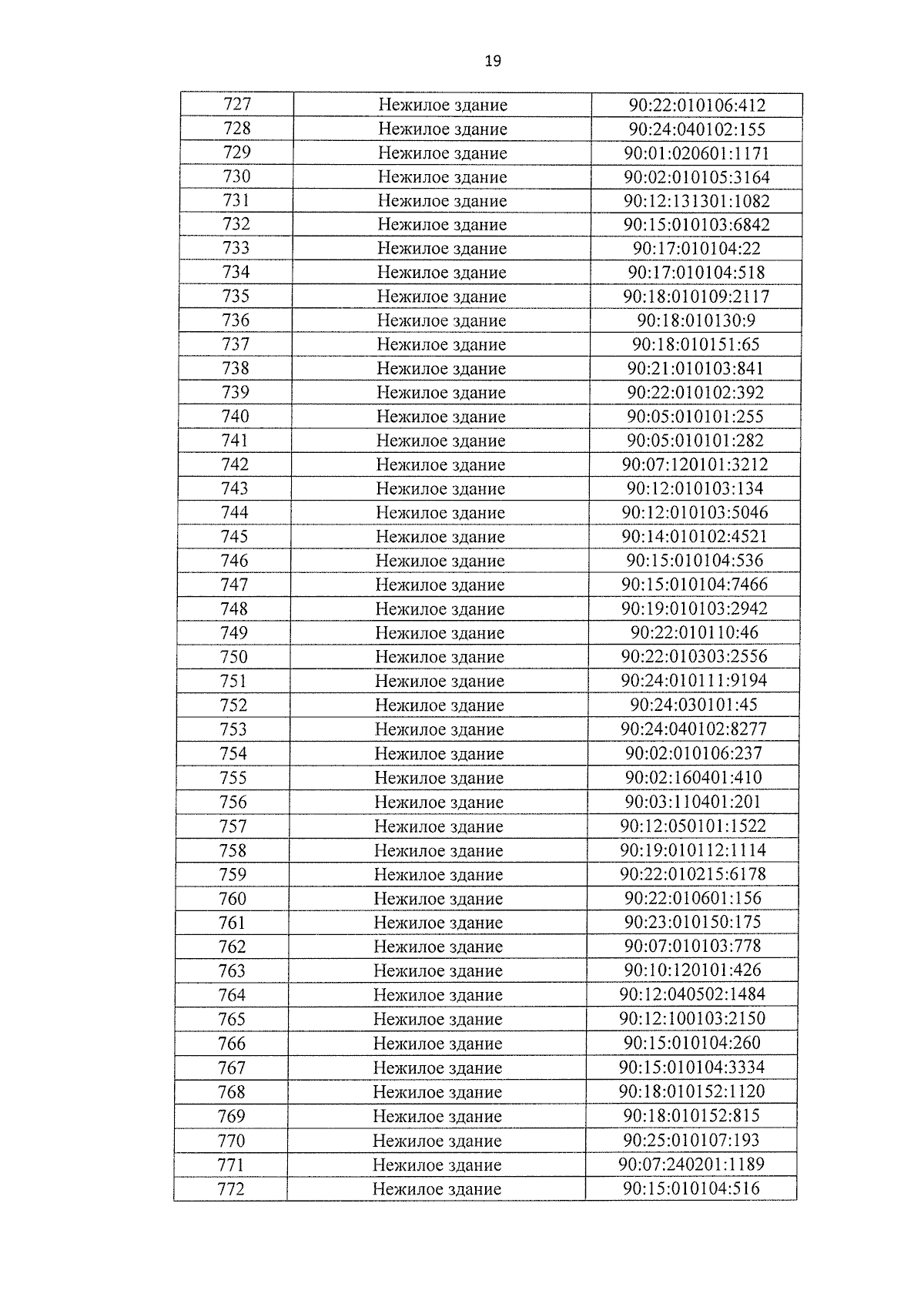
Постановление Совета министров Республики Крым от 23.12.2025 № 904
"Об утверждении перечня объектов недвижимого имущества, расположенных на территории Республики Крым, в отношении которых налоговая база определяется как кадастровая стоимость, на 2026 год"
Номер опубликования: 9100202512230008
Дата опубликования: 23.12.2025
Страница №19 из 552:
Увеличить