Официальное опубликование правовых актов
ОФИЦИАЛЬНОЕ ОПУБЛИКОВАНИЕ
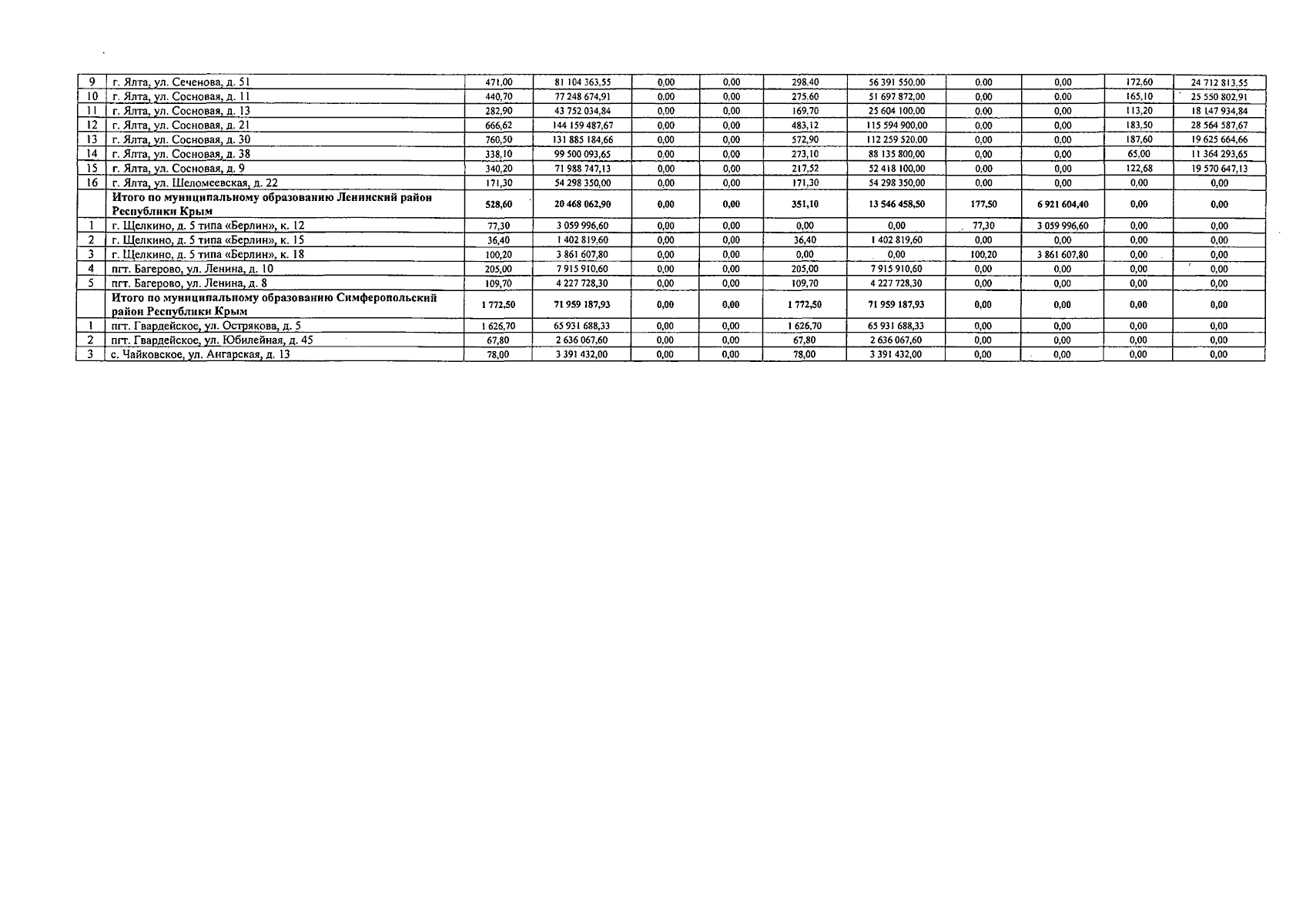
Постановление Совета министров Республики Крым от 11.12.2025 № 840
"О внесении изменений в постановление Совета министров Республики Крым от 29 марта 2018 года № 148"
Номер опубликования: 9100202512120002
Дата опубликования: 12.12.2025
Страница №7 из 7:
Увеличить