Официальное опубликование правовых актов
ОФИЦИАЛЬНОЕ ОПУБЛИКОВАНИЕ
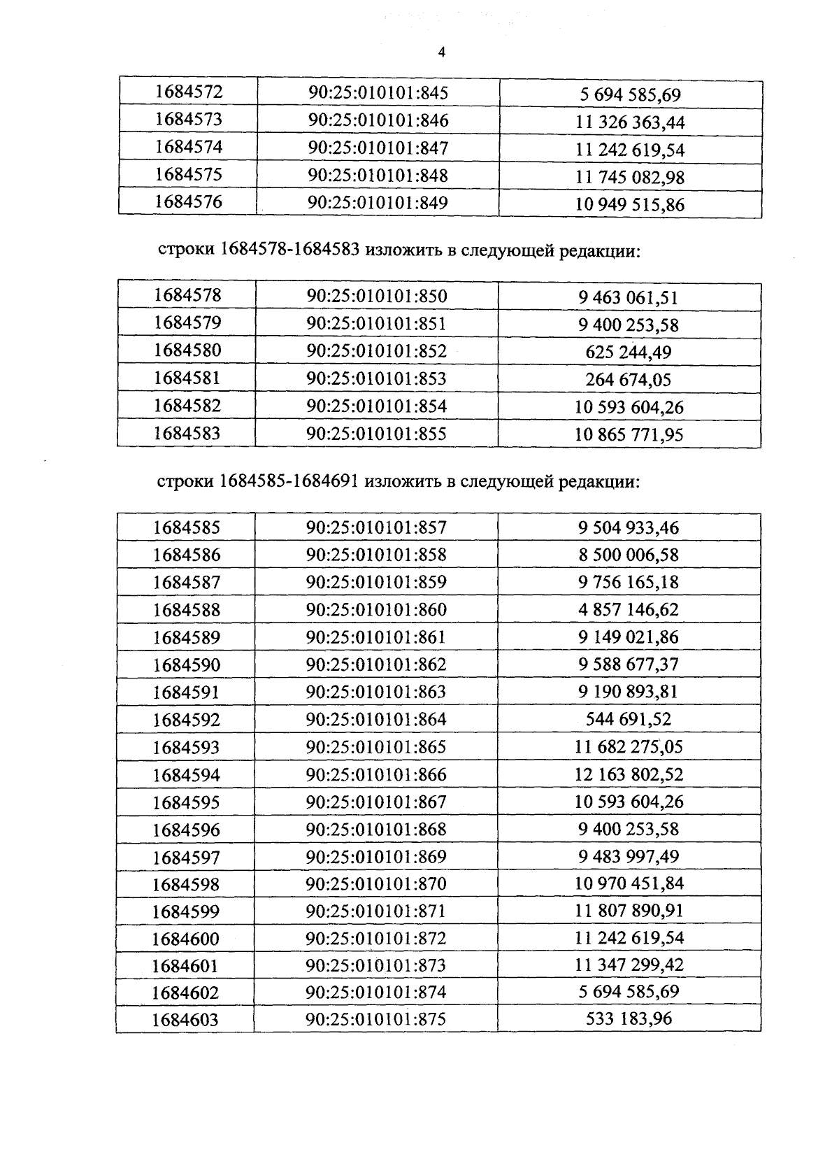
Постановление Совета министров Республики Крым от 07.08.2025 № 475
"О внесении изменений в постановление Совета министров Республики Крым от 20 ноября 2023 года № 819"
Номер опубликования: 9100202508080001
Дата опубликования: 08.08.2025
Страница №4 из 14:
Увеличить