Официальное опубликование правовых актов
ОФИЦИАЛЬНОЕ ОПУБЛИКОВАНИЕ
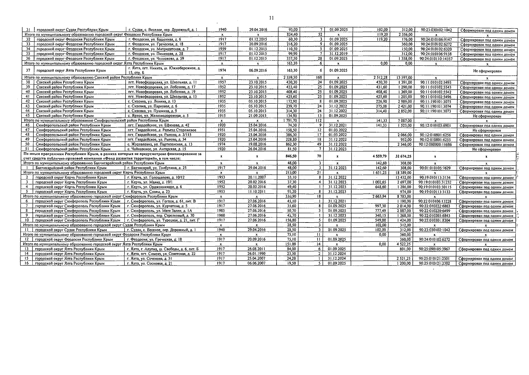
Постановление Совета министров Республики Крым от 16.07.2025 № 421
"О внесении изменений в постановление Совета министров Республики Крым от 1 апреля 2019 года № 182"
Номер опубликования: 9100202507170009
Дата опубликования: 17.07.2025
Страница №11 из 15:
Увеличить