Официальное опубликование правовых актов
ОФИЦИАЛЬНОЕ ОПУБЛИКОВАНИЕ
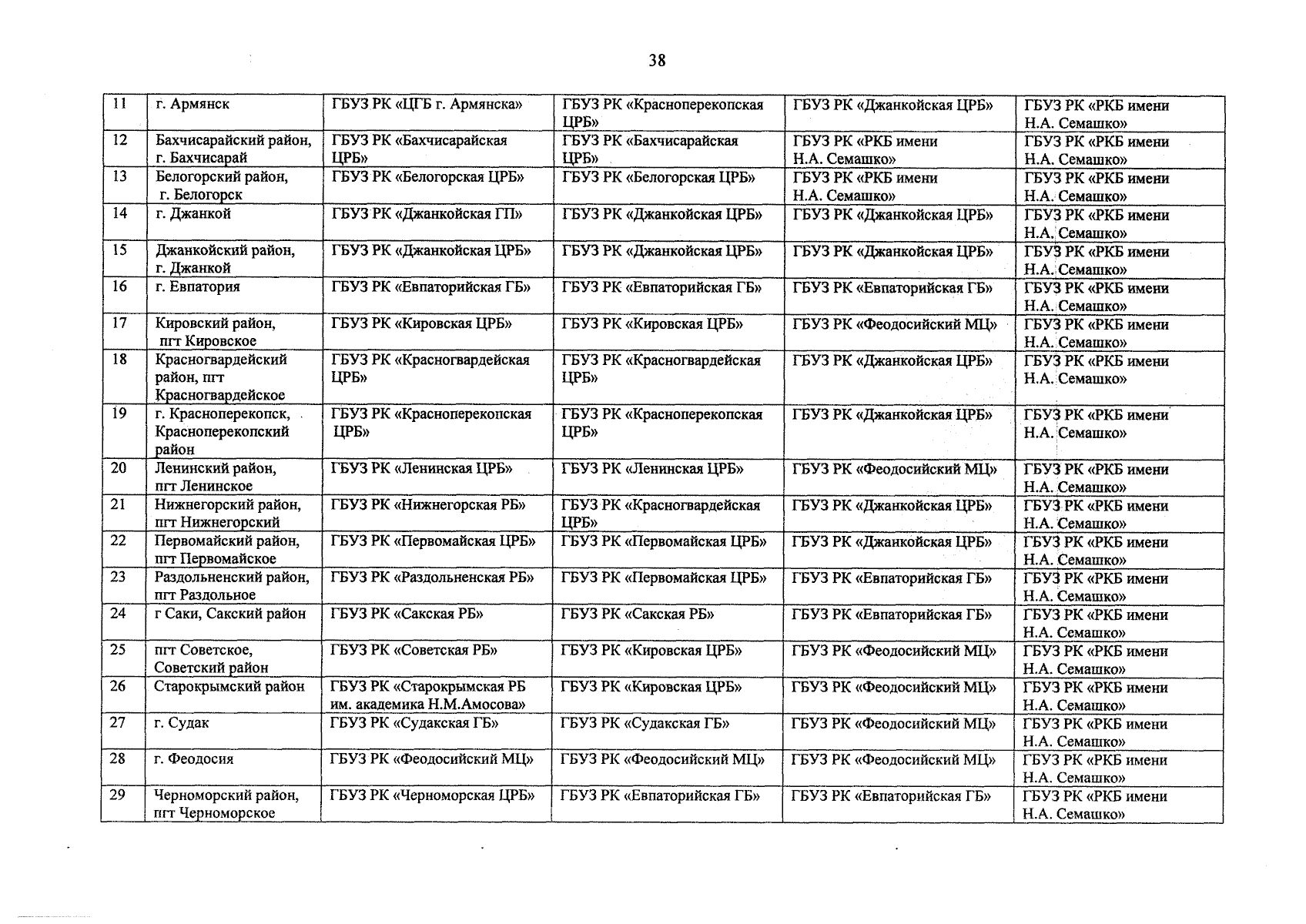
Постановление Совета министров Республики Крым от 30.06.2025 № 375
"Об утверждении региональной программы Республики Крым "Борьба с сахарным диабетом" и признании утратившим силу постановления Совета министров Республики Крым от 15 февраля 2024 года № 86"
Номер опубликования: 9100202507030004
Дата опубликования: 03.07.2025
Страница №38 из 137:
Увеличить