Официальное опубликование правовых актов
ОФИЦИАЛЬНОЕ ОПУБЛИКОВАНИЕ
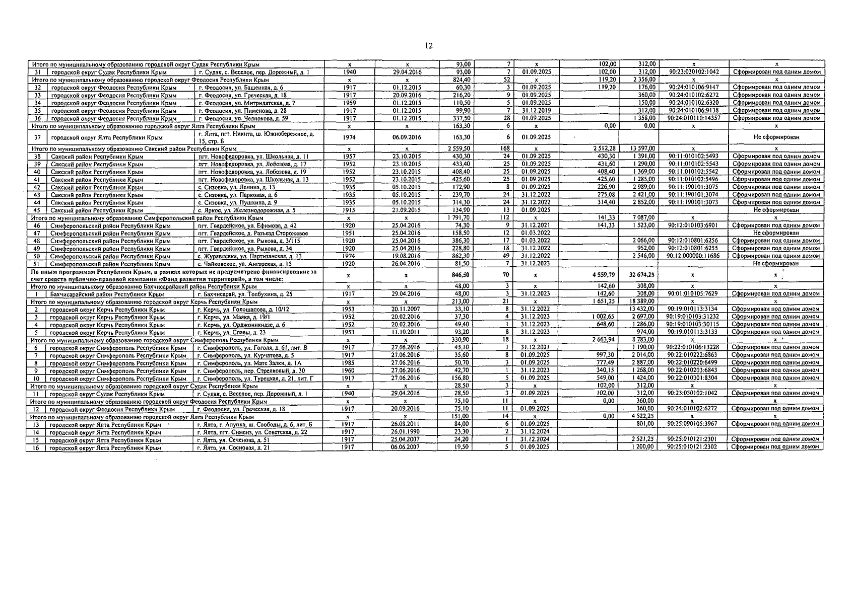
Постановление Совета министров Республики Крым от 16.05.2025 № 282
"О внесении изменений в постановление Совета министров Республики Крым от 1 апреля 2019 года № 182"
Номер опубликования: 9100202505190001
Дата опубликования: 19.05.2025
Страница №12 из 16:
Увеличить