Официальное опубликование правовых актов
ОФИЦИАЛЬНОЕ ОПУБЛИКОВАНИЕ
Постановление Совета министров Республики Крым от 07.04.2025 № 213
"О внесении изменений в постановление Совета министров Республики Крым от 28 декабря 2024 года № 839"
Номер опубликования: 9100202504080001
Дата опубликования: 08.04.2025
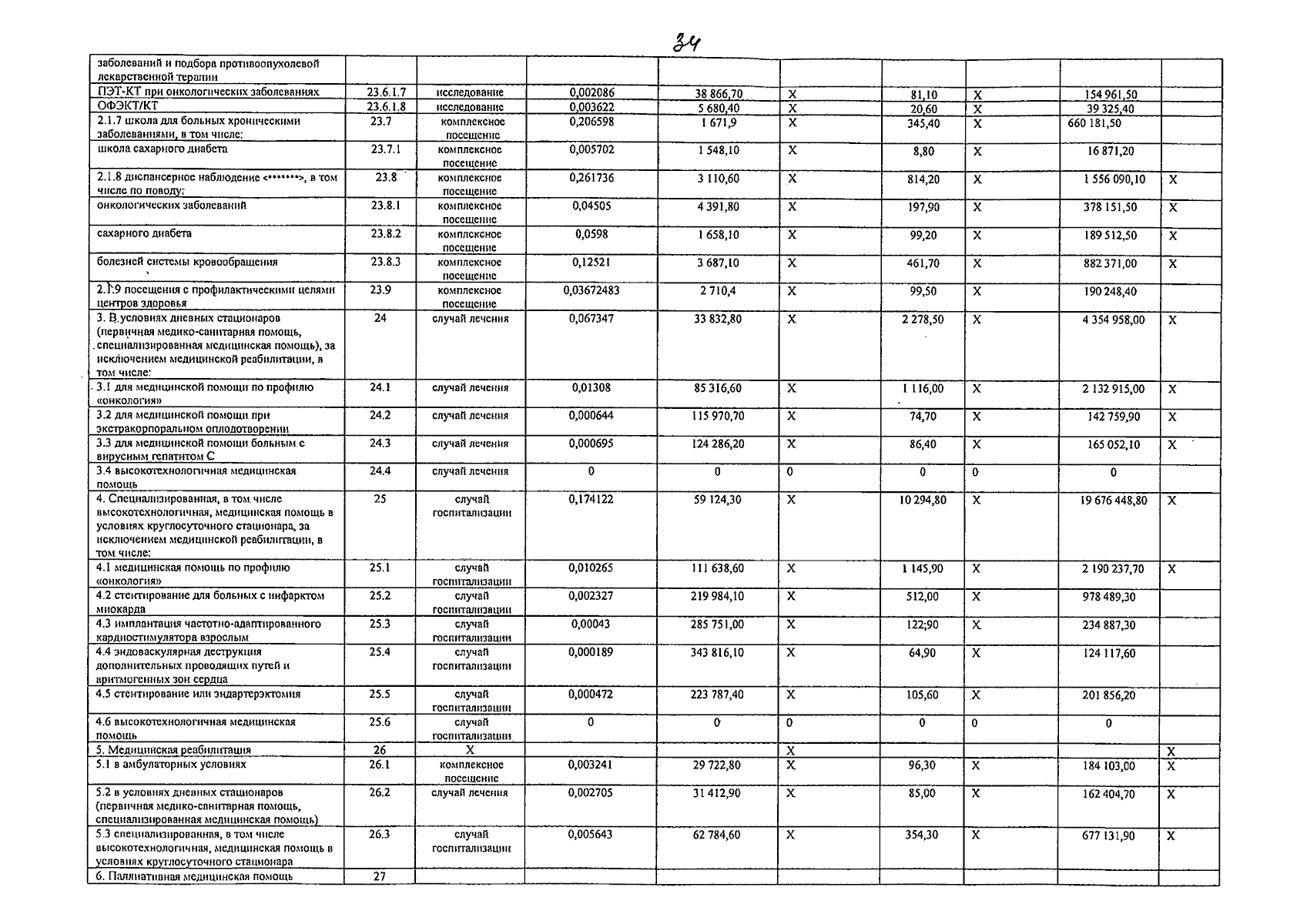
Страница №34 из 46:
Увеличить