Официальное опубликование правовых актов
ОФИЦИАЛЬНОЕ ОПУБЛИКОВАНИЕ
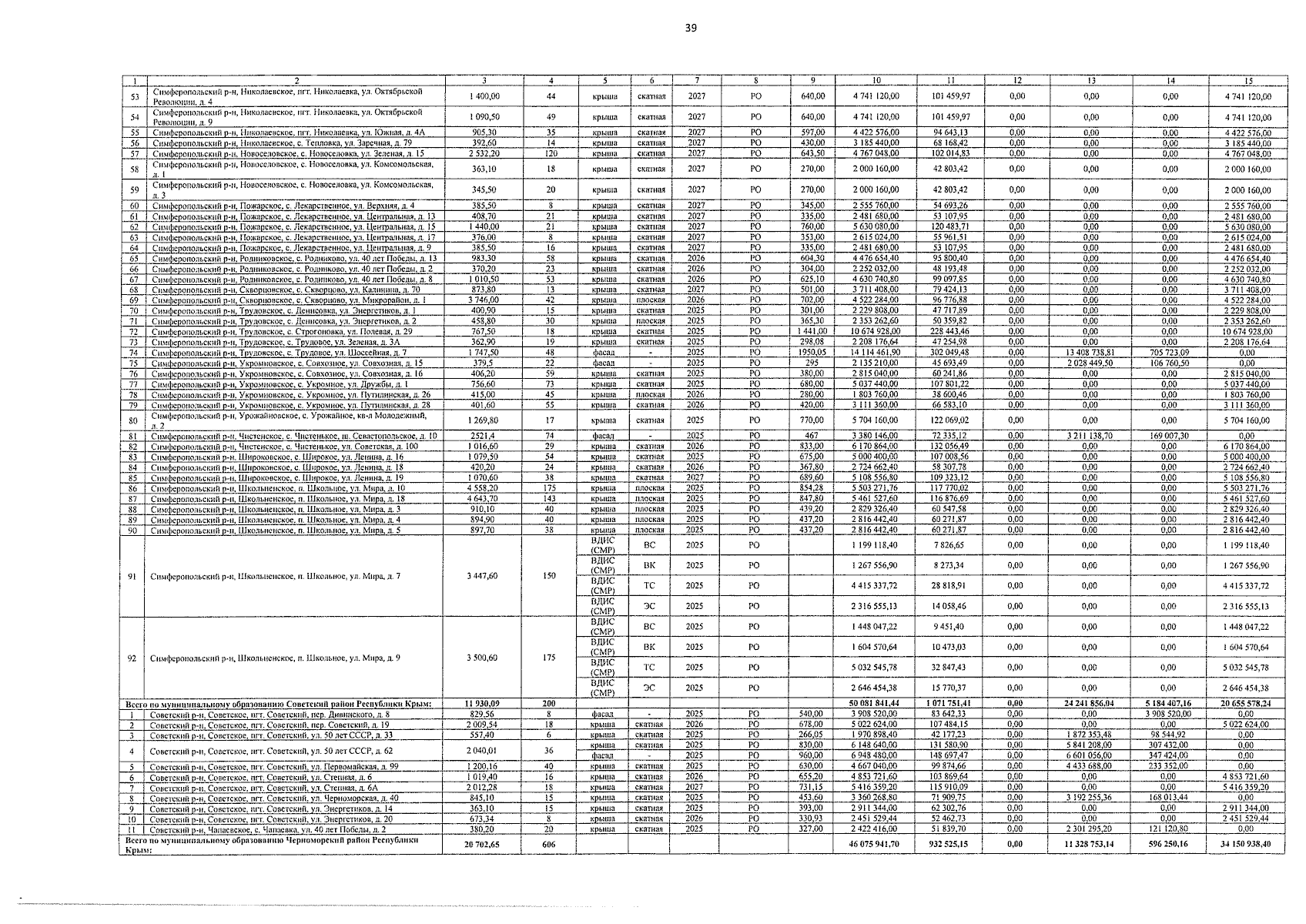
Постановление Совета министров Республики Крым от 11.03.2025 № 148
"О внесении изменений в постановление Совета министров Республики Крым от 28 июня 2024 года № 343"
Номер опубликования: 9100202503120008
Дата опубликования: 12.03.2025
Страница №39 из 42:
Увеличить