Официальное опубликование правовых актов
ОФИЦИАЛЬНОЕ ОПУБЛИКОВАНИЕ
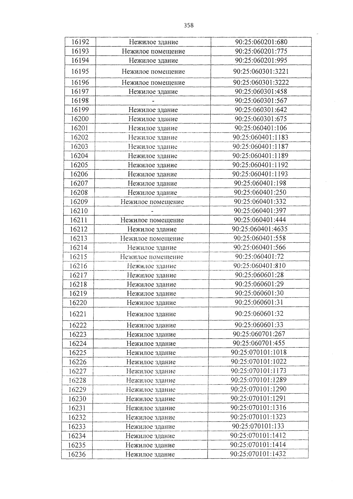
Постановление Совета министров Республики Крым от 24.12.2024 № 801
"Об утверждении перечня объектов недвижимого имущества, расположенных на территории Республики Крым, в отношении которых налоговая база определяется как кадастровая стоимость, на 2025 год"
Номер опубликования: 9100202412240007
Дата опубликования: 24.12.2024
Страница №358 из 368:
Увеличить