Официальное опубликование правовых актов
ОФИЦИАЛЬНОЕ ОПУБЛИКОВАНИЕ
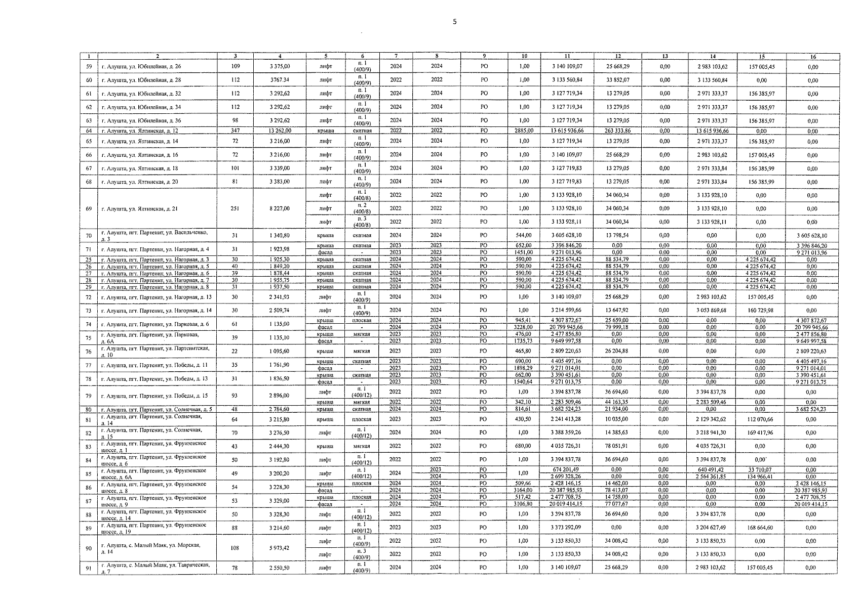
Постановление Совета министров Республики Крым от 17.12.2024 № 777
"О внесении изменений в постановление Совета министров Республики Крым от 29 декабря 2021 года № 864"
Номер опубликования: 9100202412170010
Дата опубликования: 17.12.2024
Страница №5 из 71:
Увеличить