Официальное опубликование правовых актов
ОФИЦИАЛЬНОЕ ОПУБЛИКОВАНИЕ
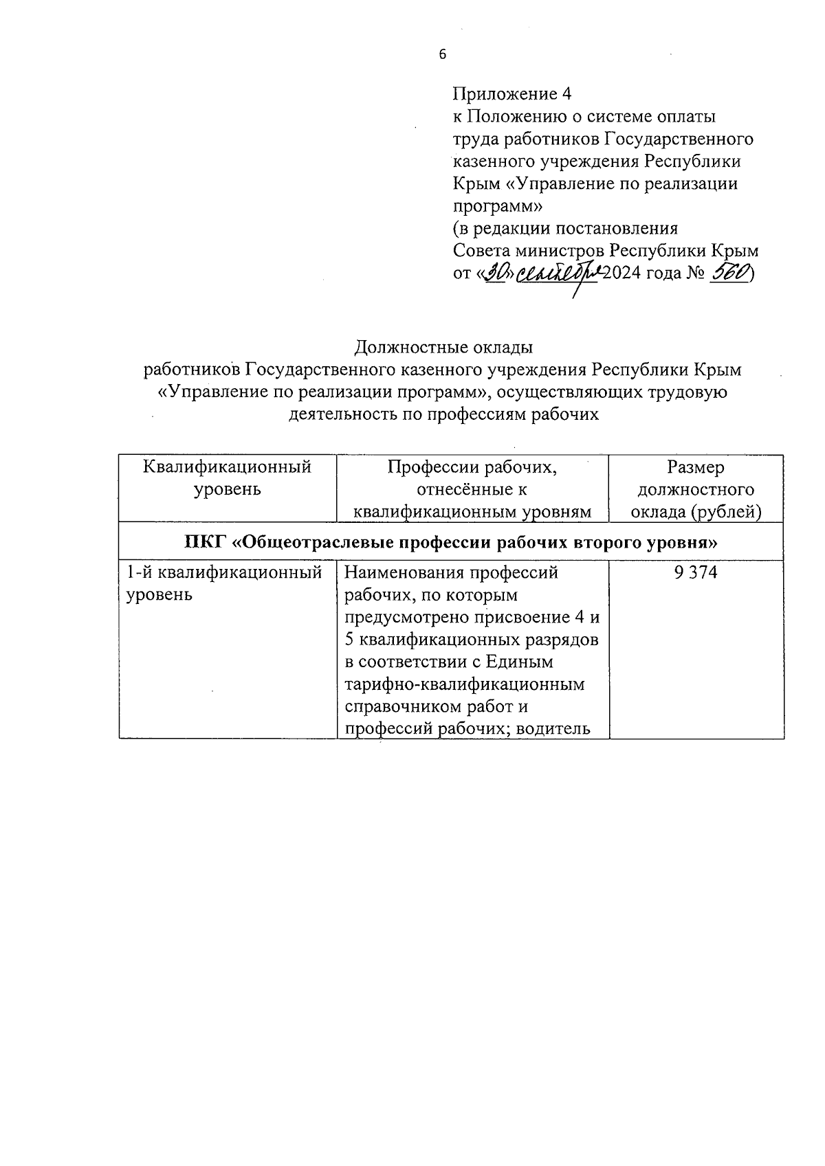
Постановление Совета министров Республики Крым от 30.09.2024 № 560
"О внесении изменений в постановление Совета министров Республики Крым от 07 октября 2015 года № 601"
Номер опубликования: 9100202410030007
Дата опубликования: 03.10.2024
Страница №6 из 6:
Увеличить