Официальное опубликование правовых актов
ОФИЦИАЛЬНОЕ ОПУБЛИКОВАНИЕ
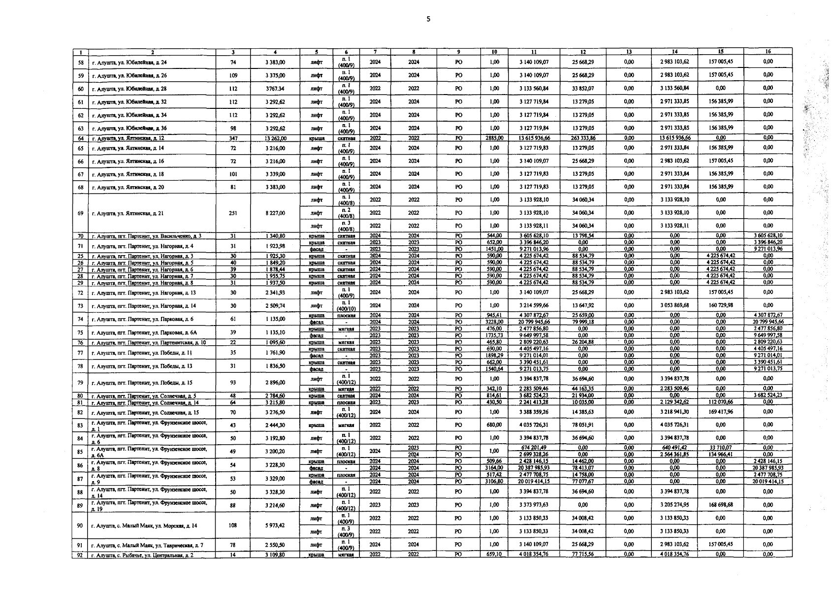
Постановление Совета министров Республики Крым от 25.07.2024 № 412
"О внесении изменений в постановление Совета министров Республики Крым от 29 декабря 2021 года № 864"
Номер опубликования: 9100202407260003
Дата опубликования: 26.07.2024
Страница №5 из 72:
Увеличить